This post is about how organic chemistry and biochemistry got their names.
The Swedish chemist Jöns Berzelius (1807-1882) appears to have introduced the name “organic chemistry” for the study of molecules derived from living things. This appears to imply that living stuff is different to non-living stuff. In post 16.18, I explain my reasons for believing that this apparent implication isn’t true. Even in Berzelius’ lifetime, many scientists appear not to have believed it. So there was no single point in time at which scientists would have believed that molecules from living sources were somehow special.

But an experiment that clearly showed that molecules from living things weren’t special was performed by the chemist Friedrich Wöhler (1779-1848) who lived and worked in what is now Germany. He was the first to synthesise an organic compound (urea) from an inorganic compound (ammonium cyanate). Ammonium cyanate is a mixture of ammonium ions and cyanate ions (formulae I in the picture above) and can be synthesised from substances that don’t come from living things. Urea (formula II) is found in urine and other body fluids and we make it when we break down proteins. Although many books consider this experiment to be important for understanding that there was nothing special about organic molecules, it’s not clear whether this was Wöhler’s intention. But as a result, the name “organic chemistry” changed its meaning.

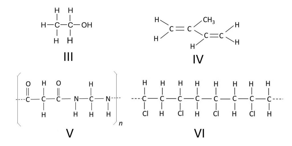
Now organic chemistry means the synthesis and investigation of molecules containing carbon because nearly all the molecules processed by living things contain carbon. There seem to be about 100 million known different molecules that contain carbon atoms and new ones are being discovered all the time. Many are synthesised for the first time in the development of pharmaceutical and other industrial products. These molecules may contain carbon atoms bonded to each other (like ethanol, the “alcohol” in alcoholic drinks, formula III above), perhaps forming chains as in isoprene (formula IV above) and may join to form polymers like nylon (formula V above) and PVC (formula VI above). In others, the carbon atoms form rings: a few examples include cytosine (formula VII below), adenine (formula VIII below), fructose (formula IX below) and sucrose (formula X below). If you don’t understand chemical formulae like VII, VIII, IX and X, see post 20.38 for an explanation.

It is the enormous number and range of these molecules that makes organic chemistry a separate branch of chemistry. Examples that have appeared in previous posts include: fats (post 16.47), soap (post 16.48), most polymers (post 20.7) including rubber but excluding silicone rubber (post 20.8), sugars (post 20.38), polysaccharides (post 20.40), nucleic acids and their component parts (post 21.2), amino acids and proteins (post 21.4). Reading these posts will give you some idea of different types of organic molecules. But there are more that include hormones, pharmaceutical products, natural dyes, vitamins and very many others.
The concentration on carbon chemistry may appear to neglect the importance of chemistry in living things – this is now a separate subject called biochemistry. Biochemistry is about the molecular basis of what happens in living things. For example, it includes the mechanisms involved in DNA directing the sequence of amino acids in proteins (posts 21.14, 21.23, 21.24). It also includes very many topics not covered in this blog. Examples are: the how haemoglobin in blood binds oxygen in the lungs and releases it in cells that need oxygen; the mechanisms involved in the catalysis of chemical reactions by enzymes; the reactions involved in the synthesis of ATP in our bodies and so on.
So, there is a strong link between organic chemistry and biochemistry, but they are mostly concerned with different types of problems. Organic chemistry concentrates on determining the structure of carbon-containing molecules extracted from biological and other sources, and with the synthesis of carbon-containing molecules. Biochemistry is concerned with understanding the molecular basis of what happens in living things – usually involving carbon-containing molecules.
Related posts
21.23 Implementing genetic information
21.14 Copying genetic information
21.4 Proteins
21.2 Nucleic acids
20.40 Polysaccharides
20.38 Sugars
20.32 Isomerism
20.29 Properties of optical isomers
20.16 Homeostasis 1
20.8 Rubber
16.47 Fats
16.41 Physics, chemistry and biology
16.33 Chemical reactions
16.30 Molecules
Follow-up posts