
Before you read this, I suggest you read posts 17.49 and 25.4.
The purpose of this post is to show how we can use the idea of a resonance hybrid to explain the relative acidity of acetic acid (also called ethanoic acid – the acid that gives vinegar its flavour), ethanol (the alcohol in alcoholic drinks) and phenol (also called carbolic acid, benzoic acid and benzenol) – their formulae are shown in the picture above. When I call them “organic acids”, I am using the adjective “organic” in the sense described in post 24.9.
The value of the acid dissociation constant, Ka, is used to measure the strength of an acid, as described in post 17.49. But for the acids considered here the numbers are very small and not easy for everyone to understand because they involve writing the results multiplied by negative powers of ten (see post 18.2). So, to make comparison easy for everyone, we define
pKa = -log10Ka
by analogy with the idea of pH. Here log10 denotes the logarithm of Ka to the base 10 (see post 18.3).
According to the definition, stronger acids have a lower value of pKa. The values of pKa for acetic acid, ethanol and phenol are shown in the table below.

In post 17.49, we saw that acetic acid is an acid because its O-H bond breaks to provide a source of hydrogen ions (H+) and acetate ions (CH3COO–). But ethanol also contains an O-H bond but it is a much weaker acid (its pKa value is almost the same as that of water). Like ethanol, phenol has an O-H group bonded to a carbon atom but is a much stronger acid than ethanol (although weaker than acetic acid).
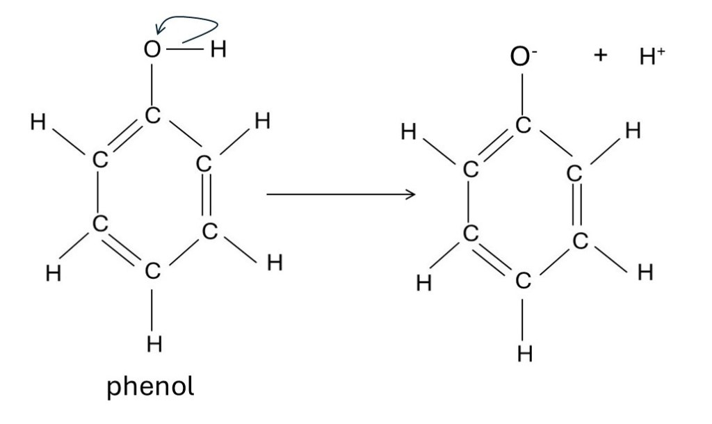
What is happening here? In each case the O-H bond breaks to give an H+ ion and a cation (a negatively charged ion) as shown in the three pictures below. The relative pKa values for acetic acid, phenol and ethanol suggest that the cations derived from acetic acid and phenol are more stable than the cation derived from ethanol – because they must be formed more easily. I am going to use the idea of resonance hybrids to explain this observation. In each case the O-H bond is a covalent bond that consists of a pair of electrons shared between an oxygen and a hydrogen atom – each atom contributed one electron to the bond. When the bond breaks, this pair of electrons moves to the oxygen atom as shown by the curly arrow. Here the curly arrow represents a real movement of electrons to produce two new chemical entities – a molecule has disintegrated to produce two ions. As a result, the cation has gained an electron from the bond and so gains a negative charge. But the hydrogen atom has lost an electron that it shared and so becomes a positive ion.



Now let’s look at the cation produced by breaking the O-H bond in ethanol. The only way to represent its structure is shown in the picture above. But when we look at the cation produced by breaking the O-H bond in acetic acid, we get a structure that can be represented by two resonance hybrids, as shown in the picture below. Here the curly arrow doesn’t represent a real movement of electrons as occurs in a chemical reaction because the resonance hybrids exist only in our imagination – they show that electrons are shared between several (in this case three) atoms (a carbon atom and two oxygen atoms). Because the electrons are shared by several atoms this cation is more stable than if they were localised on one atom, as explained in post 25.4. So acetic acid produces more stable cations and is a stronger acid than ethanol.

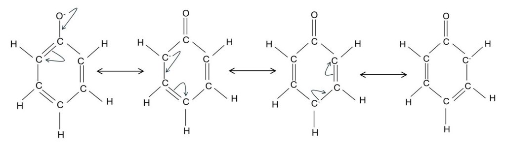
Now let’s look at the cation produced by breaking the O-H bond in phenol. The picture below shows that we can represent it by four resonance hybrids, noting that the curly arrow represents movement of a pair of electrons. (You may need to represent the electrons surrounding each carbon atom by dots, to convince yourself what is happening here.) So phenol, like acetic acid, is a stronger acid than ethanol.

But why is acetic acid a stronger acid than phenol? I suspect that it’s because the charge in the acetate ion is shared between oxygen atoms. But in the cation derived from phenol it is shared with carbon atoms. Oxygen atoms are more electronegative than carbon atoms which means that they attract electrons more readily. Electronegativity depends on how effectively the positive charge of the atomic nucleus is shielded by its surrounding electrons – so the oxygen nucleus is less effectively shielded that the carbon nucleus. But I don’t want to pursue this topic because I’m not sure this explanation is reliable!
If you want to know more about electronegativity, it is explained clearly at
https://en.wikipedia.org/wiki/Electronegativity
Related posts
25.4 Resonance hybrids
25.3 Benzene molecule
25.2 Sigma bonds and pi bonds
25.1 Hybrid orbitals
16.31 Electrons in molecules
16.30 Molecules
Follow-up posts