Before you read this, I suggest you read post 19.27.
![]()
Schrödinger’s equation, above, describes the motion of a particle (like an electron) in terms of its wavefunction, ψ (post 18.10), and energy, E. Here ∇ is the Laplacian operator (post 19.12), m is the mass of the particle, h is Planck’s constant (post 19.19) and V is the potential energy of the particle (post 16.21). The equation depends on the wave properties of the particle (post 19.24) but, because it can also behave as a particle (post 19.25), it has mass.
To solve the equation, we need to find an expression for V that describes the system that we are investigating. The equation is then solved to find ψ and E. Warning: this post becomes difficult after this sentence – so you may want to stop reading here!
As an example, we’ll think about an electron confined to a one-dimensional space in which 0 < x < a. Within these boundaries V = 0 (the particle is free to move); outside V = ∞ (the particle is excluded by an infinite potential). Since this is a one-dimensional problem, the Laplacian operator simplifies to d2/dx2 (post 19.12– it’s no longer a partial derivative because ψ is a function of x only). Now Schrödinger’s equation takes the form
![]()
when x > 0 and x <a.
Equation 2 has the same form as the differential equation describing the simple harmonic oscillator: d2ψ/dx2 replaces d2x/dt2, ψ replaces x (see post 19.10). This equation has sine, cosine and exponential mathematical solutions (post 19.10). As always, when solving differential equations, we have to find the solution that describes our physical system (post 18.6). At the boundary defined by x = 0, V = ∞ so that the particle is not free to move – if the particle is not free to move, it has no wave properties so that ψ = 0. Our solution must be a function of something multiplied by x, by analogy with the solution of the simple harmonic oscillator equation (post 19.10). Then the solution that will satisfy the condition that ψ = 0 when x = 0, is a sine (post 16.50). Also, ψ = 0 when x = a, for the same reason as when x = 0. Remember that sinθ = 0 when θ = nπ where θ is measured in radians and n = 1, 2, 3….(posts 16.50 and 17.11). Now (nπx/a) is a function of x that is equal to nπ when x = a. So, a physically sensible form of the solution to equation 1 looks like

The solution is plotted, for n = 1 (red), n =2 (blue), n = 3 (green) and n = 4 (yellow) in the picture above. Does it surprise you that the results are the same as those for a vibrating string fixed at both ends (post 18.12)? The two problems are identical – a vibrating system constrained to remain stationary at its two ends!
But we do have a problem. In the case of the string, we know that ψ represents the amplitude of the vibration (post 18.10). What does ψ represent for our electron wave? In general, a wave equation can have a solution of the form
![]()
which is the exponential form (post 19.10) of the sine solution given in post 19.12; the symbols are defined in posts 19.10 and 19.12. The complex conjugate (post 18.16) of this solution is
![]()
so that
![]()
You might want to look at post 18.12, on the powers of numbers, to make sense of this. Now 1 is the probability of finding our particle in our one-dimensional space, because it must be somewhere so the probability of finding it somewhere is 100% or 1.
So, it is conventional to consider that the value of ψψ*, at some point in space, represents the probability of finding the particle at that point in space. When ψ is real ψψ* = ψ2 (see post 18.16). This interpretation gives us a way of finding an expression for A in equation 3, as shown below.

Integrating (post 17.19) over the one-dimensional space 0 < x < a, covers all space accessible to the electron – so the probability of finding it within this space must be equal to 1 (see above).
To evaluate this integral, let θ = nπx/a; so that when x = 0, θ = 0 and when x = a, θ = nπ. Also dx/dθ = a/nπ (post 17.4). Substituting all this into the equation above gives

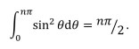
Notice that here, and in the previous integral we can place the constants before the integral sign (see post 17.19). The value of the final integral is nπ/2 (appendix 1), so that
![]()
with the result that

Substituting this result into equation 3 gives

This process for finding a value for A, that ensures that ψψ* = 1, is called normalisation; the same idea was used in solving the diffusion equation in post 19.16.
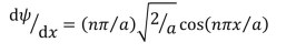
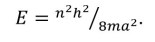
To find the energy levels corresponding to the wavefunctions shown in the picture, we substitute equation 4 into equation 2. Now we have to find d2ψ/dx2. Differentiating equation 4 gives
![]()
(see appendix 1.2 of post 17.13), and differentiating again gives

Substituting this result into equation 3 gives
![]()
so that
![]()
This result gives the energy for each of the wavefunctions plotted in the figure. You may have realised that we didn’t need to find A to calculate E. But I wanted to show how normalisation works.
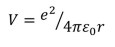
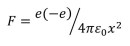
We have now solved Schrödinger’s equation for a simple one-dimensional case. But Schrödinger used it to find allowed wavefunctions and energy levels for an electron in a hydrogen atom. How did he do it? First he had to find an expression for V, the potential energy of an electron at a distance r from a nucleus containing a single proton (post 16.27). The result (appendix 2) is that
![]()
where e is the charge on an electron (post16.25), ε0 is the permittivity of free space (post 16.25); be careful – earlier in this post e was used to represent the number described in post 18.15 – now I’m using it to represent the charge on an electron. The expression for V has to be substituted into equation 1, to find ψ. However, finding ψ is now much more complicated than in the example above, involving Legendre functions and Laguerre polynomials. When these results are substituted into equation 1, they give values for the allowed energy levels described in post 16.29. It would take many posts like this one to describe all the concepts involved. That’s why I’ve restricted my description of solving Schrödinger’s equation to a simple one-dimensional case.
For more complicated systems, approximate methods are used to solve Schrödinger’s equation. For example, to find the wavefunctions for electrons in a molecule we need to use the linear combination of atomic orbitals approach (post 16.31).
Related posts
19.27 Schrödinger’s equation
19.26 Heisenberg’s uncertainty principle
19.25 Wave-particle duality
19.24 Electron waves
19.16 Solution of the diffusion equation
19.10 Differential equations
Appendix 1
The purpose of this appendix is to find the integral of sin2θ with respect to θ.
In the appendix to post 19.13, I showed that
cos(α + β) = cosαcosβ – sinαsinβ.
Therefore,
cos2θ = cos2θ – sin2θ = 1 – 2sin2θ.
The final step is explained in appendix 4 of post 16.50. So

Since sinnπ and sin 0 are both equal to zero (see posts 16.50 and 17.11), the results is that

Appendix 2
The purpose of this appendix is to find an expression for V for an electron in a hydrogen atom.
The work done by a force, F, to give an object a displacement r is defined (post 17.36) to be
![]()
When we move an electron away from the centre of an atom, F and r act in the same direction, so that
![]()
(see appendix 2 of post 17.13). The nucleus of a hydrogen atom consists of a single proton whose charge is equal and opposite to the charge on an electron (post 16.27). So, if the charge on an electron is e, the charge on a hydrogen nucleus is –e. According to post 16.25
![]()
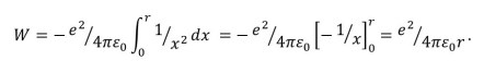
for an electron at a distance x from the nucleus. So, the work done to move an electron from the nucleus to a radius r is

If you don’t see how I evaluated the integral, note that 1/x = x-1 (post 18.2) and that d(x-1)/dx =-x-2 = -1/x2 (post 17.4); then remember that integration is the inverse of differentiation (post 17.19). Finally, remember that the potential energy, V, of the electron at this point is equal to the work done, W, in getting it there (post 16.21).