
I wrote about exponential growth and decay in posts 16.5 and 16.6; I want to return to this topic again to introduce some ideas that I will use in later posts.
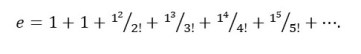
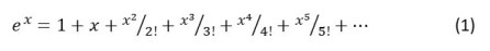
Let’s invent a number called e (it was really invented by Jacob Bernoulli in 1683); we will define it raised to the power x (post 18.1) by
![]()
Here 5! = 5 × 4 × 3 × 2 × 1 = 120; we call 5! “five factorial”. Remember that any number raised to the power zero is equal to 1; if we put x = 0 into our definition we get
![]()
The value of e is given by putting x = 1 into our definition of ex. The result is

Like π, in post 17.11, this series goes on forever. But each term that is added to the series is smaller than the one before; we say that the series converges. So, we can calculate the value of e, to whatever, precision we require, as shown in the table below; more information on tables like this appears in post 17.11.

We can see that, if we want to find a value of e to four decimal places, any term after the eighth has no effect (we say the series has converged) and that the required value is 2.7183.
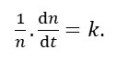
Now let’s think about the number of something increasing with time, t, according to the equation
![]()
Here n0 is the initial number of the thing (when t = 0) and n is the number at the time represented by t; k is a constant. How long does it take the number of things to double? We will call this time t2 and will calculate its value by putting n = 2n0 in the equation above. Then
![]()
We can divide both sides of this result by n0 to give
![]()
From the definition of a logarithm (post 18.3) we can then write that
![]()
Dividing both sides of this equation by k gives the result that
![]()
So, the time for the number of things to double is constant. In post 16.5 we saw that exponential growth occurs when the number of something doubles in a constant period of time.
This means that equation 2 could be used as a definition of exponential growth. We call a mathematical expression that contains e raised to a power an exponential function. The graph at the beginning of this post shows exponential growth plotted from equation 2 with n0 = 1 and k = 10.
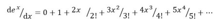
To explore exponential growth further, I’m going to differentiate ex with respect to x, using the ideas explained in post 17.4. In this post, I proved that d(x1)/dx = 1 = x0 and that d(x2)/dx = 2x = 2x1. These results can be generalised to d(xm)/dx = mxm-1, where m is a constant; the proof involves using the binomial theorem (a topic I haven’t covered in this blog) and isn’t easy.
Applying this result to equation 1 gives

So differentiating ex gives ex. This means that the rate at which ex increases, as x increases is equal to its current value – another way of looking at exponential growth.
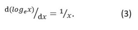
To look at exponential growth yet another way, I’m going to use the idea that

This result is proved in the appendix; for an explanation of logex, see post 18.3.
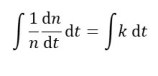
Let’s suppose that the rate of increase of something depends on how many there are of them. For example, the rate of increase in the bacteria in the colony described in post 16.5 depends on how many bacteria are present. We can express this mathematically as

Here, k is a constant; note that, if k is negative, equation 4 represents exponential decay (post 16.6). The graph below is identical to the graph at the beginning of this post except that k = -10, instead of 10.

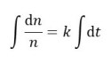
Dividing both sides of equation 4 by n gives

Integrating both sides of the result, with respect to time (see post 17.19), gives

which becomes

since k is a constant (post 17.19). Evaluating these integrals (noting the result given in equation 4) gives
![]()
where C is a constant of integration (post 17.19). To find C, we apply the boundary condition (post 17.19) that n = n0 when t = 0, to obtain

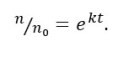
Substituting this value for C into the equation above gives
![]()
For an explanation of the final step, see post 18.3. From the definition of a logarithm to the base e (post 18.3), we can express this result as

Multiplying both sides of this result by n0 gives equation 2. So, equations 2 and 4 are equivalent and both could be used as definitions of exponential growth.
The important points in this post are given by the previous sentence and the ideas expressed in equations 1 and 3.
Related posts
18.14 Shapes of waves – Fourier series
18.3 Logarithms
18.2 Powers of numbers
17.37 More about torque – cross products of vectors
17.36 More about work – line integrals
17.19 Calculating distances from speeds – integration
17.4 Displacement, velocity and acceleration
17.3 Three-dimensional vectors
17.2 Vectors
16.6 Exponential decay
16.5 Exponential growth
Follow-up posts
21.5 Logarithmic spirals
24.3 Limits to growth
24.5 Linear second-order systems
Appendix
The purpose of this appendix is to prove equation 3.
If y = logex then x = ey (see post 18.3).
It is reasonable to suppose that δ(ey)/δx = {δ(ey)/δy} × {δ(ey)/δx}, here the symbol δ represents an infinitesimal increment in the quantity (see post 17.4). In the limit that δx becomes zero (see post 17.4) this becomes d(ey)/dx = {d(ey)/dy} × {d(ey)/dx} = {d(ey)/dy} × {dx/dx}.
d(ey)/dy = ey and dx/dx = 1. Substituting these results into the previous equation gives
ey(dy/dx) = 1.
Dividing both sides of this equation by ey gives
dy/dx = 1/ey = 1/x.
Noting that y = logex gives the required result.