Before you read this, I suggest you read posts 18.26 and 19.15.
In post 18.26, we saw that particles that are free to move in a medium (like molecules in a solution) will spontaneously spread to achieve an even concentration; this process is called diffusion. In post 19.15, we saw that, for diffusion in one dimension, the concentration, c, can be expressed as a function of distance, x, and time, t, by the diffusion equation

Here D represents the diffusion constant, for a given substance in a given medium (post 19.14). For more information on differential equations (like the equation above), see post 19.10; for more information on partial differentials (that appear in this equation) see post 19.11.
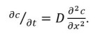
In appendix 1, I show that one form of solution of the diffusion equation is
![]()
Here exp(x) is another way of writing ex, as defined in post 18.15.
What is the value of A? As described in post 19.10, we need to find an expression for A, that makes this mathematical solution to the diffusion equation describe the observed physical system. The concentration must depend on the number, n, of diffusing particles; so we can write our solution in the form
![]()
where A = nB. But this doesn’t help much because we now have another question – what is the value of B? At any given time, the probability of finding any particle somewhere must be 1, because diffusing particles don’t appear from nowhere or disappear. So we need to find a value for B that gives this result.
Finding the value of a constant, that arises from the solution of a differential equation, to ensure that the probability of something has the required value of 1 is called normalisation. The value of B that fulfils this condition is derived in appendix 2. The result is that

Here n is just a scale factor. If we want to understand what this equation tells us about how c depends on x and t, we need only to look at how φ, defined by the equation above, depends on x and t.

In the picture above, φ is plotted against Dt. Notice that D and t always occur together in the equation that defines φ. This is because increasing either D or t increases the spread of particles. When Dt = 0.01 (red curve), there is a tight distribution of particles; by the time Dt = 0.1 (blue curve) the distribution has become wider. And when Dt = 1 (green curve), the particles are almost evenly distributed. The curve for Dt = 0.01 has a peak value of almost 3 but the area under the curve is still 1, because the curve is so narrow.
So this solution of the diffusion equation shows that particles spread out, with increasing time, to achieve an even distribution of concentration.
Related posts
19.15 The diffusion equation
19.14 Fick’s law
18.29 Reverse osmosis
18.27 Diffusion through membranes
18.26 Diffusion
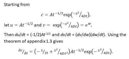
Appendix 1
Appendix 1.1

Appendix 1.2
This follows from appendix 1.2 of post 17.4.

Appendix 1.3
This follows from the concept of differentiation in post 17.4 where δf is an infinitesimal increase in f.

Appendix 1.4
![]()
This appendix uses ideas on the differentiation of simple functions in post 17.4 and the differentiation of exponential functions in post 18.15. Remember that we’re treating x as a constant and that 1/t = t-1. But you’ll still need to do some work on your own to follow this appendix – otherwise it would have been much longer than the rest of this post!

Appendix 1.5

Appendix 1.6

Appendix 1.7

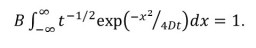
Appendix 2
Since the probability of finding any particle somewhere must be 1,
![]()
For more information about the operation of integration, which appears in this equation, see post 17.19. Usually we would need to evaluate the integral to find B. But, in this case, there is a simpler approach.
In post 16.26, we saw that the normal or Gaussian distribution, that shows the probability, p, of something having the value of x, is given by

where μ is the mean value of x and σ is the standard deviation of the distribution. The integral of p, with respect to x, between the limits of minus and plus infinity (see post 17.19) must be equal to 1, because p is a probability distribution. If = 0, the exponential term in this distribution is identical to the exponential term in our equation for c, provided σ2 = 2Dt. Substituting this expression for σ2 into our equation for c gives
