Before you read this, I suggest you read posts 19.10 and 19.11.

I introduced the idea of a wave in post 18.10 but, if you think about it, you will see that in that post and later posts (18.11, 18.12, 18.13, 18.14, 19.9) on waves, I have never defined exactly what I mean by the word “wave”. I have illustrated the behaviour of waves by pairs of trigonometric functions, one representing behaviour in time and the other behaviour in space, (post 18.10) and shown that any periodic disturbance that we might describe as a “wave” can be considered as a superposition of these trigonometric functions (post 18.14). But I have never given a clear definition of the word “wave”.
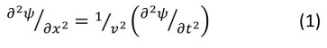
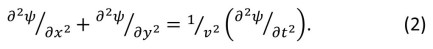
In this post I define a one-dimensional wave as some property, ψ, that varies with distance, x, and time, t, according to the equation

where v represents the speed of the wave. This equation is called the one-dimensional wave equation and is an example of a differential equation (post 19.10) that contains partial derivatives (post 19.11) – so it is an example of a partial differential equation (often abbreviated to PDE).
You will find a derivation of equation 1 in many books and on many web sites but only for the special case of a wave propagated along a stretched string. An equation of the form of equation 1 can also be derived from the theory of electromagnetism which predicts that, for electromagnetic waves (post 19.9) v = (εμ)-1/2, where ε is the permittivity and μ is he permeability (post 16.25) of the stuff the waves are traveling through. Neither of these is a general derivation.

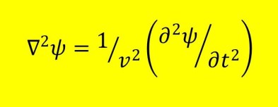
So, I prefer to think of equation 1 as defining the concept of a wave. It can be extended into two and three dimensions in space. For example, a wave on a surface, like the wave in the picture above, can be represented by
![]()
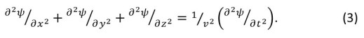
A radio signal, from a transmitter, or light, from an ordinary light source, spreads out in three dimensions. Radio and light are transmitted as electromagnetic waves (post 19.9) and can be represented by

In equations 1, 2 and 3, x, y and z are distances in an orthogonal Cartesian coordinate system (appendix 2 of post 16.50).
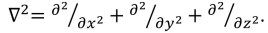
We can simplify the appearance of equation 3 by defining the Laplacian operator
![]()
The left-hand side of this equation is pronounced “del squared”. The Laplacian operator is named after the French mathematician Pierre-Simon Laplace (1749-1827). Equation 3 can now be written as shown in the picture at the beginning of this post – this is the usual form in which the three-dimensional wave equation is written.
What do the solutions of the wave equation look like? In other words, what form must ψ take to satisfy the wave equation? In the appendix, I show that any function of (vt –x) satisfies equation 1, the one-dimensional wave equation. The same arguments show that any function of (vt + x) is also a solution. This result is consistent with the observation that waves can have many different shapes (post 18.14).
Let’s look at a sinusoidal function of (vt – x) that satisfies equation 1. The reason for choosing a sinusoidal function is that any repetitive function can be considered as the sum of sine and cosine waves (post 18.14) and a cosine wave is simply a sine wave whose phase is shifted by π/2 radians (appendix 6 of post 16.50, noting that π/2 radians is the same as 90o – post 17.11).
Now (vt – x) has the dimensions of length (post 17.41) because both vt and x are distances. To make this expression dimensionless, we’ll divide it by the wavelength (post 18.10), λ. But, if we are to calculate its sign, it must be measured in radians (post 17.11) so we’ll multiply it by 2π. Finally, we want the maximum value of ψ to be A, the amplitude of the wave (post 18.10). So a useful sinusoidal solution of equation 1 is
![]()
Noting that v/λ = f = 1/T, where f represents frequency and T the time period of the wave (post 18.10) and that 2π/T = ω, the angular frequency (post 18.10), and defining κ= 2π/λ (post 19.11), this result becomes
![]()
Equation 4 is a convenient expression for exploring the properties of ψ in time and space. This represents a one-dimensional wave but the ideas can be extended into 2 or 3 dimensions.
Related posts
19.11 Partial differentiation
19.10 Differential equations
19.9 Electromagnetic waves
19.8 Wave energy
18.17 Euler’s relation, oscillations and waves
18.14 Wave shapes
18.13 Sound
18.12 Vibrating strings
18.11 Motion in a circle, the simple harmonic oscillator and waves
18.10 Waves
Appendix
To show that any function of (vt – x) is a solution to the one-dimensional wave equation.
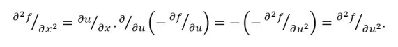
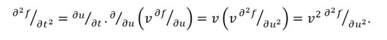
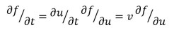
Let’s define u = (vt – x) and f as any function of u. The idea of a function is explained in post 19.10.
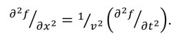
To differentiate f with respect to x, we use an idea explained in appendix 1.2 of post 17.13. Then
![]()
If you’re not sure how to differentiate u with respect to x, to get the final step, see post 17.4. Differentiating again with respect to x gives

Using the same ideas gives
![]()
and

Comparing the results for differentiating twice with respect to x and t, shows that

In other words, any function of u = (vt – x) is a solution of the one-dimensional wave equation.