Before you read this, I suggest you read posts 19.12 and 19.24.

If you’ve heard of “Schrödinger’s cat”, and didn’t understand what it was about, I suggest that you forget it – it won’t help you to understand how quantum theory (post 16.2) is used to explain things. But Schrödinger’s equation is very important – it provides a means for explaining the behaviour of particles like electrons.

When it was realised that particles, like electrons, could behave like waves (post 19.24) the Austrian physicist Erwin Schrödinger adapted the wave equation (post 19.12) to explain their behaviour. The result, Schrödinger’s equation, can be used to calculate, for example, the behaviour of electrons in atoms. This approach is sometimes called wave mechanics, to distinguish it from another formulation of quantum mechanics developed largely by the English physicist Paul Dirac. In 1933 Schrödinger and Dirac shared the Nobel Prize for Physics.
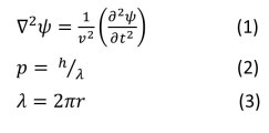
Schrödinger’s equation is based on the wave equation (post 19.12), equation 1, and two results, equations 2 and 3, based on the wave properties of particles.

In equation1, ψ is the wavefunction (post 18.10). On the left-hand side, the Laplacian operator forms the second partial derivative (post 19.11) of ψ with respect to the Cartesian coordinates x, y and z (further details appear in post 19.12). On the right-hand side of equation 1, v is the speed of the wave; on this side of the equation the second partial derivative of ψ with respect to time, t, appears. In equation 2, p is the modulus of the momentum of the particle (particle description, post 16.13), λ is its wavelength (wave description, post 18.10) and h is Boltzmann’s constant; all this is explained in post 19.24.
To understand equation 3, we need to know that Schrödinger developed his equation to describe the properties of the hydrogen atom. Then the electron can be considered either as a particle in a circular orbit, radius r, about a nucleus (post 16.27) or a wave travelling around a circular path of length 2πr. If 2πr is not an integral number of wavelengths, the path difference between it and the original wave will gradually increase, as it goes round and round the circle, until there is destructive interference (post 18.10) and it ceases to exist. So, you might expect the right-hand side of equation to be 2πnr where n is any integer. I’m setting n = 1, because Schrödinger’s equation is a differential equation with many mathematical solutions; when we come to choose the physically sensible solution, the value chosen for n will not matter. The general point about differential equations is described in post 19.10; the next post will show how we can deal with this in the special case of Schrödinger’s equation.
You might have some doubts about equation 3. Schrödinger’s equation is supposed to be perfectly general and not confined to electrons going round in circles. Also, the way it was derived and is intended to be used, appears to violate the Uncertainty Principle (post 19.26); we have an electron in orbit with a known radius and are deriving an equation which we hope to use to calculate properties like energy. For this reason, the following paragraphs are not a rigorous derivation but demonstrates how the ideas of equations 1, 2 and 3 can be combined; it seems likely that there is no rigorous derivation of Schrödinger’s equation. Equation 3 is equivalent to one of the quantum postulates made by the Danish physicist Niels Bohr when he was trying to formulate a theory for the stability of the hydrogen atom – before de Broglie had thought about electron waves (post 19.24) and Heisenberg had formulated the Uncertainty Principle.
We are also going to use a further starting equation:
![]()
Here E is the total energy of the particle and V is its potential energy, so that E – V represents its kinetic energy (post 16.21); m is the mass of the particle. The kinetic energy is also given by mv2/2 = p2/2m, since p = mv (post 16.13). Putting this information together gives us equation 4.
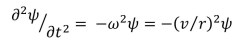
Let’s now think about an electron in a stable atom (post 16.29), molecule or conduction band of a metal or semiconductor (post 16.31) – it’s not going anywhere, and so we can think of it as a standing wave (post 18.12). Enforcing this condition means that we are going to develop what is called the time-independent Schrödinger equation. We can think of this standing wave as going up and down – analogous to the behaviour of a simple harmonic oscillator, as described in post 18.11. Then

where ω is an angular frequency whose relationship to v and r (right-hand side of the equation) is explained in post 17.12. Now, the right-hand side of equation 1 becomes
![]()
From equation 3:
![]()
All I’ve done on the right-hand side is to multiply by p2/p2 = 1. Now I’m going to replace the first p2 by the result from equation 4 and the second p2 by h2/λ2, from equation 2, so that
![]()
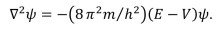
From equations 5 and 6, noting the intermediate equation, the right-hand side of equation 1 becomes
![]()
We can now write equation 1 as
![]()
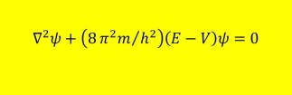
This is the time-independent Schrödinger equation that is usually written in the form shown in the yellow box at the beginning of this post.
How do we use Schrödinger’s equation? That is the subject of my next post.
Related posts
19.26 Heisenberg’s uncertainty principle
19.25 Wave-particle duality
19.24 Electron waves
19.23 Photoelectric effect and photons
19.15 The diffusion equation
19.12 The wave equation
19.11 Partial differentiation
19.10 Differential equations
19.9 Electromagnetic waves