Before you read this post, you should understand the dot product of vectors (appendix 2 post 17.13), the cross product of vectors (post 17.37) and partial differentiation (post 19.11).

I have been asked to write a post on the Navier-Stokes equation that was briefly introduced in post 17.15. Before I write it, I need to explain the mathematical operator ∇. This post, and the two that follow it, are difficult topics so you may wish to ignore them. But I hope to use the ideas in this post to discuss electromagnetism, in later posts, as well as the Navier-Stokes equation, in post 20.36.
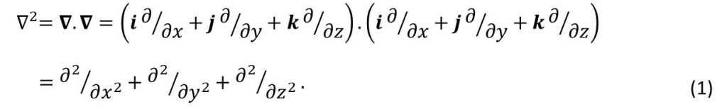
The operator ∇ is defined by the equation at the beginning of this post (highlighted in yellow). Here i, j and k are the orthogonal unit vectors defining an orthogonal Cartesian coordinate system (post 17.3) and x, y and z are the components of a vector in each of these directions, respectively; ∂/∂x, ∂/∂y and ∂/∂z represent partial derivatives (post 19.11) with respect to x, y and z, respectively. ∇ is written in bold because it’s a vector operator. The symbol ∇ is called del or nabla – “nabla” is supposed to be an ancient Greek word for a harp; I don’t know the origin of the word “del”.
Notice that ∇ doesn’t represent a number – it represents a mathematical operation (like the integral sign in post 17.19). For example, we know (post 17.4) that

We could think of d/dx as an operator that acts on x2 to give the result 2x. But d/dx is not a vector operator – it is a scalar operator (see post 16.50 and 17.2 to find the difference between vectors and scalars).
Before we continue, let’s look at the square of the modulus of ∇. According to appendix 2 of post 17.13

The final step arises because
i.i = j.j = k.k = 1 (2)
and
i.j = k, i.k = –j, j.i = –k, j.k = i, k.i = –j, k.j = –i (3)
(post 17.3). Equation 1 defines the Laplacian operator, previously defined in post 19.12.
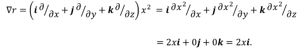
Now let’s look at the operation of ∇ on r = x2. Note that x2 is not a vector (it is a scalar) but we can still apply a vector operator to it. Then

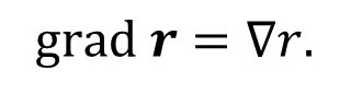
Note that 2xi is the slope of r (post 17.4) in the i-direction. So it is the slope of the vector r = x2i. A slope is sometimes called a gradient. So ∇r is sometimes called the gradient of r; this definition is usually written as

Note also that the operation of ∇ on a scalar gives a vector result.
When ∇ operates on a vector it can do it in two ways: forming a dot product (appendix 2 post 17.13) or forming a cross product (post 17.37).
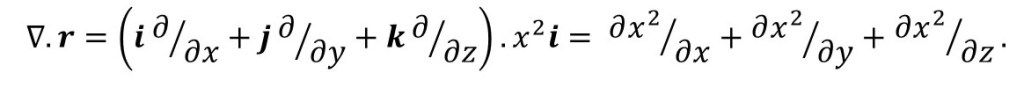
Let’s look at the dot product first and, as an example, consider the vector r = x2i. Then

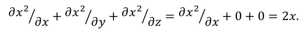
The final step arises from equations 2 and 3. Continuing

So ∇.r produces a scalar result that increases as x increases; the result diverges with increasing x and is sometimes called the divergence of r, written

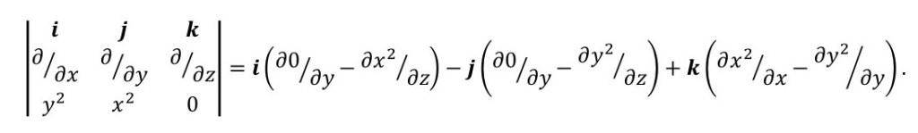
Finally, let’s think about the cross product of ∇ and a vector. This time we’ll consider the vector r = y2i +x2j, as an example. Then

The right hand side of this equation can be written as the determinant (post 17.37)

Evaluating the partial derivatives gives the result

Note that the vector r, in this example, lies in the plane defined by the vectors i and j so ∇ × r is a vector perpendicular to r. The result is sometimes called the curl of r (for reasons that need not concern us when we meet the Navier-Stokes equation) and is written

In conclusion, the vector operator ∇ can:
- act on a scalar to gives a vector result
- form a dot product with a vector to give a scalar result
- form a cross product with a vector to give a vector that is perpendicular to the original vector.
Related posts
19.11 Partial differentiation
17.3 Three-dimensional vectors
Follow-up posts