Before you read this, I suggest you read post 20.2.
Let’s think about a solid sphere surrounded by a fluid (post 16.37). If the pressure in the fluid increases, the force on the ball increases because pressure is simply a component of a force divided by an area (post 17.5). We will assume that the pressure acts equally in all directions because the pressure at a point in a fluid is the same in all directions (post 17.5). Of course, our sphere is not a point but if its dimensions are small compared with its depth in the fluid (remember that pressure increases with depth, post 17.5) then our assumption will be reasonable. When a property of an object is the same in all directions, we say that it is isotropic; our sphere is being subjected to isotropic compression.

The effect of this increased pressure is then to make the sphere smaller without changing its shape, as shown in the picture above. So, the deformation involves only changes in dimension and there is no shear (post 20.18). If the initial volume of the sphere is V and ΔV is the change in volume, then we can define volumetric strain by
Θ = ΔV/V
by analogy with engineering strain in post 20.2. Similarly, we can define true volumetric strain by
Θ’ = loge(1 + Θ)
as shown in the appendix to post 20.2 The meaning of loge is explained in post 18.5. In the appendix, I show that Θ’ ≈ Θ for small values of Θ’. The appendix shows that, for small strains, volumetric strain and true volumetric strain have almost the same values; this result was also shown, numerically, for engineering strain and true strain, in the appendix to post 20.2.
Volumetric stress is defined to be –p, where p is the pressure acting on an object. This definition is often stated in textbooks without being fully explained. Let’s think about an infinitesimal area, δA, of the surface of the sphere. More information about infinitesimals, required to follow the arguments in this paragraph, is given in post 17.4. The component of the force acting perpendicular to this area is pδA, from the definition of pressure (post 17.5). Then the magnitude of total force acting perpendicular to the surface of the sphere is the integral of pδA (post 17.19). If p does not vary over the surface of the sphere (see the first paragraph) then this integral becomes pA, where A is the total surface area of the sphere. Then the magnitude of the volumetric stress is –pA/A = –p; the negative sign arises because external pressure acts as a compressive stress (see post 20.2 to find out about when stress is positive or negative).
By analogy with Young’s modulus (post 20.2) and shear modulus (post 20.18), we can define the bulk modulus, B, of a material as volumetric stress divided by volumetric strain. Then
B = –pV/ΔV (1)
Note that ΔV is negative when an object is compressed, so that this definition leads to a positive value for B. The definition assumes that B does not change when V changes. This is the same as assuming that the material that the sphere is made from obeys Hook’s law (post 20.3). But not all materials obey Hooke’s law, so we will try to find a better definition of B – analogous to the tangent modulus of post 20.3. Suppose the pressure surrounding the sphere changes from p to p + δp, where δp is an infinitesimal change in pressure. As a result, the volume changes from V to V + δV. B is the slope of the stress-strain curve (post 20.3) and is given approximately by
B ≈ –Vδp/δV.
In the limit, as δV tends to zero (see post 17.4) this approximation becomes exact, so that
B = –Vdp/dV. (2)
Then B is the value of the bulk modulus at a given volume V. Equation 2 will be especially useful when we consider the compression of fluids. Note that equation 2 leads to a positive value for B because dp/dV is negative (the volume decreases when the pressure increases).

Let’s compare isotropic compression of a solid sphere with what happens when a cylinder is compressed along its axis, as shown in the picture above. The cylinder is not compressed equally in all directions – the compression is anisotropic. But, if the sphere and the cylinder are made of the same material, we would expect that B would be related to Young’s modulus, E (post 20.2), because, in both cases, the same material is being compressed. This will be the subject of my next post.
Related posts
20.19 Deformation of objects – changes in shape
20.3 Hooke’s law
20.2 Deformation of objects – stress, strain and Young’s modulus
Follow-up posts
20.21 Relationship between Young’s modulus and bulk modulus
20.23 Isothermal compression of a gas
Appendix
The purpose of this appendix is to show that Θ’ ≈ loge(1 + Θ) for small values of Θ. To prove this result, we will use Maclaurin’s theorem (appendix 2 of post 20.3).
Let u = (1 + Θ). Then du/dΘ = 1 (post 17.4).
Also, d(logeu)/du = 1/u (post 18.15). So that
dΘ’/dΘ = d(logeu)/dΘ = [d(logeu)/du] × du/dΘ
(appendix 1.2 of post 17.13). Hence dΘ’/dΘ = 1/(1 + Θ).
According to appendix 1 of post 20.3, any function f of x can be represented by

This means that we can write
![]()
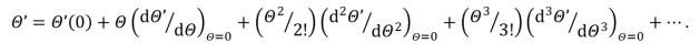
For small values of and noting that 2! = 2 × 1 = 2 and that 3! = 3 × 2 × 1 = 1/6 this result becomes
![]()
When Θ = 0, Θ’ = loge(1) = 0 (posts 18.2 and 18.3) then
![]()