In post 20.20 we looked at isotropic compression of a solid object. In a gas, or a liquid, the pressure acts equally in all directions (post 17.5), so when a gas is compressed it is subjected to isotropic compression. Then resistance to compression is then given by the bulk modulus of the gas (post 20.20).
However, the relationship between pressure and volume of a gas also depends on the temperature. Then pressure, p, is related to volume V and temperature T (on the Kelvin scale, post 16.34) by
pV = nRT (1)
where n is the number of moles (post 17.48) of gas in the sample and R is the ideal gas constant (post 18.25).
Let’s start by considering a gas that is maintained at a constant temperature. This means that heat can flow in or out of our sample (post 16.34). Transfer of heat, from a high temperature to a low temperature, is a spontaneous process but heat transfer mechanisms (posts 19.14, 19.18 and 19.19) take a finite time. So, we can best maintain a constant temperature if the gas is compressed slowly. Now, following the definition in post 20.20, we can define the bulk modulus by
B =- V(∂p/∂V). (2)
This is a partial derivative (post 19.11) because we are holding the variable T constant while we differentiate with respect to V. From equation1
p = nRT/V (3)
so that
∂p/∂V = – nRT/V2.
Differentiation of the expression for p follows the rules in post 17.4. Substituting this result into equation 2 gives
Bi = nRT/V = p.
The final step comes from equation 3. I have given B the subscript i, so that it’s written Bi to make it clear that this is the isothermal bulk modulus. This result tells us that the isothermal bulk modulus of a gas is equal to its pressure, so it does not remain constant when the gas is being compressed.

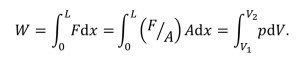
Now let’s think about the work done in isothermal compression of a gas. We’ll think about a gas in a cylinder being compressed by a piston, as shown in the picture above. Although a force, F, applied to the piston acts in a single direction, the pressure within the gas is isotropic (does not depend on direction), as explained in post 17.5. Let’s suppose the cross-sectional area of the piston and the cylinder is A. When the piston moves an infinitesimal distance δx (see post 17.4 for information on infinitessimals), the work done on the gas is
δW = Fδx
where F is the magnitude of the vector F (post 17.1). We need to consider an infinitesimal distance because F is not constant but increased as the gas is compressed (because the bulk modulus increases as the pressure increases – see above). Now, if the piston moves a total distance L, the work done is

The first step is explained in post 17.36; in the next steps we use the definition of pressure p (post 17.5) and note that Aδx is the volume change in the gas corresponding to the infinitesimal movement of the piston. V1 and V2 are the initial and final volumes of the gas, respectively. If we substitute the expression for p, from equation 3, into this result, we get

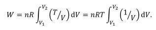
The symbols n and R always outside the integral sign because, for a fixed mass of gas, they are constants (post 17.19). For isothermal compression, T is also a constant and so can then be taken outside the integral. Now we can evaluate this integral (post 17.19), using a result derived in the appendix to post 18.15, to obtain
For more information on logarithms, see post 18.3; the number e is defined in post 18.15.
Equation 4 represents the work done on a gas when it is compressed, at a constant temperature T, from an initial volume V1 to a final volume V2. This work is stored as potential energy (post 16.21) so a compressed gas is capable of doing work. Compressing air is then one way of storing energy when peak production does not coincide with peak demand. The energy of compressed air can also be used to work air hammers, drills and wrenches and the brakes of large vehicles.
In the next post we will think about a gas that is compressed when the temperature doesn’t remain constant.
Related posts
20.20 Deformation of objects – isometric compression
19.2 Real gases
18.28 Applying the ideal gas equation to solutions
18.25 An ideal gas
17.5 Stationary liquids
16.37 Solids, liquids and gases
Follow-up posts