In post 20.20, we anticipated that there must be some relationship between the Young’s modulus, E (post 20.2) and the bulk modulus, B (post 20.20) of a material. The relationship is given by
E = 3B(1 – 2ν) (1)
where ν is the Poisson’s ratio (post 20.5) of the material. We shouldn’t be surprised by the appearance of Poisson’s ratio because it relates three-dimensional changes in deformation (involved in the definition of B) with a stress that is applied in a single direction (involved in the definition of E).
Equation 1 is valid only for
- Small strains
- Materials whose properties are isotropic
- Homogeneous materials.
If the strains are small, then the material will obey Hooke’s law reasonably well, over the small range of strains considered (post 20.3). An isotropic material has the same properties in different directions, so E and ν will be the same in all directions. A homogeneous material has the same composition throughout – it is not a mixture of different components; so equation 1 does not apply to materials like concrete, plastics reinforced with glass fibre, bread dough and a lot of other everyday materials.
The rest of this post is concerned with the derivation of equation 1. This derivation is tedious and if you are only interested in the results, stop reading here!
Matrix equation for relationship between stress and strain
Don’t worry if you don’t know anything about matrix algebra – I will try to explain what you need to know in this post.

Let’s think of the deformation of a cube, whose sides have a length L, that defines the x, y and y axis directions (appendix 2 post 16.50).
What happens when we apply a tensile stress, σx (post 20.2), in the x-direction? A strain, εxx is generated in this direction where
εxx = σx/E
as explained in post 20.2. But there is also a strain, εxy, generated in the y-direction because of the Poisson’s ratio effect (post 20.5). By definition
ν = – εxy/εxx
as explained in post 20.5, so that
εxy = – νεxx = – νσx/E.
Similarly, there is a strain εxz generated in the z-directions given by
εxz = – νεxx = – νσx/E.
So the total strain induced by the stress σx is given by
σx/E (in the x-direction) – νσx/E (in the y-direction) – νσx/E (in the z-direction).
Using the same arguments and the same notation, the total strain induced by a stress σy in the y-directions is given by
σy/E (in the y-direction) – νσy/E (in the x-direction) – νσy/E (in the z-direction).
And for a stress σz in the z-direction, the total strain is
σz/E (in the z-direction) – νσz/E (in the x-direction) – νσz/E (in the y-direction).
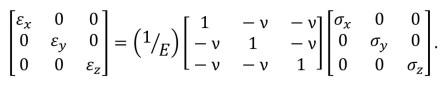
Now let’s collect the strains in the x-direction together. Then
εx = σx/E – νσy/E – νσz/E = (1/E)(σx – νσy – νσz).
We can do the same thing for the y and z-directions so that the relationships between the stresses and strains are given by the three equations below.
εx = (1/E)(σx – νσy – νσz).
εy = (1/E)(- νσx + σy – νσz).
εz = (1/E)( – νσx – νσy + σz).
Matrix notation allows us to collect these three equations together so that

In this matrix equation the strains are contained in a 3 × 1 matrix and are calculated by pre-multiplying the 3 × 1 stress matrix by a 3 × 3 matrix. A matrix doesn’t have a value; it consists of elements, each with their own value. You can see how pre-multiplication of a 3 × 1 matrix by a 3 × 1 matrix works by comparing this matrix equation with the three equations above it. But I provide more explanation in the appendix.
Writing the three independent equations as a single matrix equation may seem pointless. But it is often more convenient to use matrix notation rather than have to deal with several related equations. I shall also use equation 2 in other posts.
Relationship between engineering strain and volumetric strain
Originally our cube had a volume given by
V = L3.
Now each length is increased by a strain. So, in the x-direction, the new length is L(1 + εx) (post 20.2). In the y and z-directions the new strains are L(1 + εy) and L(1 + εz), respectively. Therefore, the volume of the strained cube is
V’ = L3(1 + εx) (1 + εy)(1 + εz) = L3(1 + εx)(1 + εz + εy + εy εz)
= L3(1 + εz + εy + εy εz + εx + εxεz + εxεy + εxεy εz) ≈ L3(1 + εx + εz + εy).
The final result arises because, for small strains, one strain multiplied by another is negligibly small.
So the change in the volume of the cube is
ΔV = V’ – V = L3(εx + εz + εy).
And the volumetric strain (post 20.20) is
Θ = ΔV/V = ΔV/L3 = εx + εz + εy.. (3)
Matrix equation for isotropic compression
If the cube is subjected to isotropic compression, the volumetric stress is given by –p (post 20.20). Then equation 2 becomes

Frome this equation we can see that
(1/E)(-p + νp + νp) = εx = εy = εz = ε. (5)
These equations define an isotropic strain, ε, that is given by
ε = -(p/E)(1 – 2ν). (6)
From equations 3 and 5
Θ = 3ε. (7)
From equations 6 and 7
Θ = -3(p/E)(1 – 2ν). (8)
In post 20.19 we defined B by
B = –p/Θ so Θ = –p/B. (9)
And, from equations 8 and 9
–p/B = -3(p/E)(1 – 2ν).
Dividing both sides of this equation by p/E and multiplying both sides by B gives
E = 3B(1 – 2ν).
This result is identical to equation 1, so we have proved the relationship between E and B.
In the next post, we will think about the relationship between E and the rigidity modulus, n (post 20.19).
Related posts
20.20 Deformation of objects – isometric compression
20.19 Deformation of objects – change in shape
20.5 Poisson’s ratio
20.3 Hooke’s law
20.2 Deformation of objects
Follow-up posts
20.22 Relation between Young’s modulus and shear modulus
Appendix
This appendix explains some simple matrix algebra. Remember that a matrix does not have a numerical value – it is a collection of numbers called matrix elements or simply elements.
Transpose of a matrix
We will define the 3 × 1 matrix A by

This is also called a column matrix because it consists of only 1 column that contain the elements a1, a2 and a3. The transpose of A is written AT and is defined by
![]()
AT is called a row matrix because it consists of only 1 row. That contains the same elements as A.
We will define the 3 × 3 matrix B by

This matrix has 3 rows and 3 columns and so contains 9 elements. The transpose of B is

Matrix multiplication

To calculate C = B × A multiply the first blue element in B by the first element in A, then multiply the second blue element in B by the second element in A, then multiply the third blue element in B by the third element in A; now add the results together to get the first element c1 in the column matrix C. Now do the same thing with the red elements of B to get c2 and with the green elements to get c3. You will find, for example, that
c3 = b13a1 + b23a2 + b33a3.
Now you can see how equation 2 gives the three expressions for the strains εx, εz and εy, in the three equations above it.
If you calculate AT × A you will get a single number a12+ a22 + a32. But you can’t calculate A × AT. And you can’t calculate A × B either. In both examples the order in which the matrices are multiplied is important; we can pre-multiply A by AT but we can’t pre-multiply AT by A. Similarly, we can post–multiply AT by A but we can’t post-multiply A by AT. The suffixes pre– and post– tell us which matrix comes first in the multiplication process.
In general, we can multiply two matrices together if the number of columns in the first is equal to the number of rows in the second. Below D is an m × n matrix and E is an n × p matrix.

We can the elements of G = D × E from
gij = di1eij + di2e2j + …dinenj
where G is a m × p matrix.
Relationship to vectors and tensors
Conventionally, we write the three-dimensional vector F in the form
F = iFx + jFy + kFz.
where i, j and k are mutually perpendicular unit vectors, and Fx, Fy and Fz are the components of F in the x, y and z directions (post 17.3). However, it is sometimes useful to represent a vector in matrix notation as

Then, in appendix 2 of post 17.13 we could write

The dot product v.r is then given by vTr = vxrx + vyry + vzrz that is a scalar.
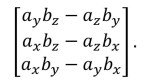
The cross product of the two vectors a and b in post 17.37 is given by the determinant

which could be represented by the column matrix

Now let’s look again at equation 2. We would get the same relationship between stresses and strains if we wrote it as

Now we are representing the stresses and strains by a 3 × 3 matrix in which are the non-diagonal elements are zero; this is an example of a diagonal matrix. The off-diagonal elements are zero because, the strains resulting from application of the stress σx do not depend on σy or σz. In general, the state of strain in an isotropic material may be more complicated so that the strain induced by σx may components in the y and z directions that are not so simply related to σx. In other words, the strain depends on direction but strains in the x, y and z direction are not independent. Then the strain in the object is represented by a tensor instead of by a vector (post 20.2). We can represent this tensor by the a 3 × 3 matrix

If you’ve managed to read this whole post, from beginning to end, congratulations!