Before you read this, I suggest that you read posts 16.25, 16.27, 16.29 and 16.37
In a previous post, we have seen how atoms of different elements can combine to form compounds (post 16.30). So far we have considered only one type of compound, in which atoms of different elements are joined together to make molecules (posts 16.30 and 16.31). But there is another kind of compound – one that consists of ions.

Let’s think about a chlorine atom. It has an atomic number Z = 17 (post 16.27), so that its 3s energy level contains the maximum number (2) of electrons and its 3p energy levels contain 5 electrons (see post 16.29) – so that they can accommodate one further electron, in order to attain a stable electron configuration (see post 16.30). It could share this electron with another atom to form a covalent bond (post 16.30).
Alternatively, the chlorine atom can steal the additional electron from another atom; it then has the maximum number (6) electrons in its 3p energy levels. Because it now has a total of 18 electrons (2 in the 1s level, 2 in the 2s level, 6 in the 2p levels, 2 in the 3s level and 8 in the 2p levels) but only 17 protons in its nucleus, it has an overall negative charge, equal to the charge on the extra electron. We call this negatively charged chlorine atom a chloride ion and represent it as Cl–; negatively charged ions are sometimes called anions.

Where can the chlorine atom steal an electron from? As an example, it can steal it from a sodium atom. Sodium has an atomic number Z = 11. It has 11 electrons (2 in the 1s level, 2 in the 2s level, 6 in the 2p level and 1 in the 3s level). It can achieve a stable electron configuration (in which all levels contain their maximum number of electrons, by losing the electron in the 3s level. It still has 11 protons in its nucleus but now has only 10 electrons. As a result, it has an overall positive charge, equal and opposite to the charge on a chlorine ion. We call this positively charged sodium atom a sodium ion and represent it by Na+; positively charged ions are sometimes called cations.
So, when sodium reacts with chlorine, it forms an equal number of sodium ions and chloride ions. Because the number of sodium ions (positively charged) equals the number of chloride ions (negatively charged), the overall result has no net charge – it is electrically neutral. The resulting compound is called sodium chloride – its everyday name is “salt”. So salt doesn’t contain molecules – instead it is a mixture of Na+ and Cl– ions. However, it is sometimes convenient to represent it as NaCl but we must be careful to remember that it is not a molecule but a mixture of ions – it is called an ionic compound.

In solid sodium chloride, the ions pack together in a regular three-dimensional crystal (see post 16.37) so that the positively charged sodium ions are surrounded by negatively charged chloride ions and the negatively charged chloride ions are surrounded by positively charged sodium ions. The result is shown in the picture above. This arrangement is stable because opposite electrical charges attract each other (post 16.25).
Many ionic compounds are soluble in water. This is because water has a high relative permittivity (dielectric constant) ε0 = 80 (see post 16.25). As a result, the force of attraction between positive and negative ions is only 1/80 times what it would be in a vacuum (see post 16.25). At room temperature, this may not be enough to overcome the kinetic energy of molecular motion (heat, post 16.35) from disrupting the crystal so that the ions are free to move in the liquid water. When this happens, we say that the compound has dissolved – the result is called a solution.
Some ions are formed by losing or gaining more than one electron. For example, calcium (Z = 20) has 2 electrons in the 1s level, 2 electrons in the 2s level, 6 electrons in the 2p levels, 2 electrons in the 3s level, 6 electrons in the 3p levels and 2 electrons in the 4s level. It can lose its two 4s electrons to become Ca2+. When calcium acts with chlorine each calcium atom can give its electrons to two chlorine atoms, forming two chloride ions. So calcium chloride can be represented as CaCl2 – but we mustn’t forget that it is really a mixture of ions, with two chloride ions for every calcium ion.
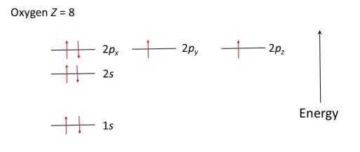
Oxygen has atomic number Z = 8. Its electron configuration is shown above (post 16.29). It can fill its 2p energy levels by stealing two electrons to form the oxide ion, O2-. So calcium reacts with oxygen to form equal numbers of calcium and oxide ions – calcium oxide CaO.
Iron can form both Fe3+ and Fe2+ ions; the first is said to have an oxidation number of 3 and the second an oxidation number of 2. So iron forms two oxides: Fe2O3 or iron(III) oxide and FeO or iron(II) oxide.
But, remember that all the compounds discussed here (NaCl, CaCl2, CaO, Fe2O3 and FeO) do not contain molecules – they are mixtures of ions.
Related posts
16.33 Chemical reactions
16.31 Electrons in molecules
16.30 Molecules
16.29 Electrons in atoms
16.27 Atoms
16.25 Electrical charge
Follow-up posts
16.40 Complicated ions
16.45 Water
16.48 How does soap work?
17.49 Acids
17.50 Alkalis
18.1 pH
18.5 Calculating pH values
19.1 Hard water