Before you read this, I suggest you read post 20.23.
In post 20.23 we saw that, when a gas is compressed, it is subjected to the same pressure in all directions, so that its resistance to compression is given by its bulk modulus, B, defined by
B = –Vdp/dV (1)
(post 20.20) where V is the volume of the gas and p is its pressure. However, p and V also depend on the temperature, T (measured on the Kelvin scale, post 16.34) of the gas.
In post 20.23, we dealt with the effect of temperature by considering compression of the gas when the temperature remains constant, called isothermal compression; this happens when the gas is compressed slowly. When the gas is compressed slowly, the temperature remains constant because heat can be exchanged with the environment (posts 16.34 and 16.35). Now we are going to deal with the effects of temperature in a different way.
We are going to consider a gas being compressed when heat cannot flow in or out of our system, so the temperature is free to change. This type of compression is called adiabatic compression. If a gas is compressed sufficiently fast, for heat exchange with the environment to be negligible, then the process with be a good approximation to adiabatic compression.
The pressure, volume and temperature of an ideal gas (post 18.25) are related by
p = nRT/V (2)
where n is the number of moles of the gas (post 17.48) and R is the ideal gas constant (post 18.25) – the same as in isothermal compression (post 20.23). But in isothermal compression T is constant so, for a fixed mass of gas,
p = K’/V
where K’ is a constant. This result is called Boyle’s law (post 18.25). But during adiabatic compression T is not constant so that Boyle’s law does not apply.
During adiabatic compression of a fixed mass of gas, p and V are related by
p = K/Vγ or p = KV–γ (3)
where K and γ are constants. The value of γ depends on the number of atoms in a molecule (post 16.30) of the gas; for a molecule that consists of only one atom (like argon) the value of γ is 1.67, for a molecule consisting of two atoms (like oxygen) it is 1.44, for a molecule consisting of three atoms (like carbon dioxide) it is 1.33. There is a theory that explains equation 2 and the values of γ. But it involves ideas that are yet to be explained in this blog. So, for now, we will consider the contents of this paragraph to be empirical observation – which is what they originally were.
From equation 3,
dp/dV = – γKV -γ – 1 = – γKV -γ/V.
The first step is explained in post 17.4; the second is explained in post 18.2.
Substituting the expression for p, from equation 2, into this result gives
dp/dV = -γp/V.
Substituting this result into equation 1 gives the adiabatic bulk modulus
Ba = γp. (4)
The subscript a in equation 4 is to distinguish the adiabatic bulk modulus, Ba, from the isothermal bulk modulus, Bi (post 20.23). Since γ is greater than 1, the adiabatic bulk modulus is greater than the isothermal bulk modulus. This is because some of the work done in isothermal compression is dissipated as heat instead of being stored as potential energy (post 16.21). So more potential energy is stored in adiabatic compression to resists further compression.
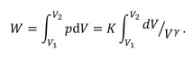
Following the arguments of post 20.23, the work done during adiabatic compression of a gas given by
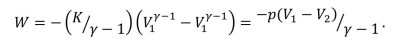
The final step comes from equation 3. Evaluating this integral (post 17.19) gives
Again, the final step comes from equation 3. From equation 2, this result can be written as
where T1 and T2 are the initial and final temperatures, respectively, of the gas.

The compressed gas can do work when the applied pressure is released, as explained in post 20.23. If we think of the gas being compressed by a piston in a cylinder, as shown above, when the compressed gas does work, it exerts a force equal and opposite to F. Then, from equation 5, the work done by the compressed gas is given by
This means that the greater the difference between T1 and T2, the more the work done by the compressed gas during adiabatic expansion.

This idea was used by the French engineer Sadi Carnot (1796-1832) in his theory of an ideal heat engine. But the Carnot engine will have to wait for a much later post.
In this post and post 20.23, I have been concerned with the effect of temperature on the deformation of a sample of gas. Should we be concerned with temperature when considering deformation of a solid or liquid? The answer is “yes” but that normally temperature effects are not important. This is because compression of a solid or liquid normally has little effect on its temperature. But if the external temperature changes, there will be an appreciable effect. For example, if the temperature increased, a solid or liquid will tend to expand (post 16.35); this expansion will increase a tensile deformation (post 20.2) but decrease a compressive deformation.
Related posts
20.23 Isothermal compression of a gas
20.20 Deformation of objects – isometric compression
19.2 Real gases
18.28 Applying the ideal gas equation to solutions
18.25 An ideal gas
17.5 Stationary liquids
16.37 Solids, liquids and gases