In post 20.20, we saw that there was a relationship between the Young’s modulus, E (post 20.2) and the bulk modulus, B (post 20.19) of a material. The relationship is given by
E = 3B(1 – 2ν) (1)
where ν is the Poisson’s ratio (post 20.5) of the material. In this post, we will find a relationship between the Young’s modulus and the shear modulus, n, of a material. This relationship exists because we can consider shear as a combination of tension and compression at right angles to each other (post 20.19) and Young’s modulus is a measure of the stiffness of a material in tension and compression.
Because the derivation of this result is tedious and involves some matrix algebra (post 20.21), I will state the result before deriving it. Readers who don’t want to follow all the mathematical details can then stop reading after the end of the next paragraph. The result is that
E = 2n(1 + ν) (2).
Equation 2 is valid only for homogeneous materials at low strains. The implications of this restriction are explained in post 20.21.
We can combine equations 1 and 2 to derive a relationship between n and B. From these two equations we can see that
3B(1 – 2ν) = E = 2n(1 + ν)
which means that
n = (3/2)B(1 – 2ν)/ (1 + ν) (3).
If you don’t want to follow a lot of detailed mathematics, stop reading now!
Geometry of shear

The picture above shows the square side of a (blue) cube that has been subjected to a shear by application of a force f. This picture is made up of two pictures from post 20.21. The effect of the shear is to change the shape of this square, from ABCD to A’B’C’D without changing the lengths of any of the sides; the change in shape is given by the shear strain, γ, where γ/2 is shown in the picture (post 20.21). We can consider f to be the resultant of the forces F and F’. F and F’ have the same modulus but different directions (post 17.2).

In the picture above, I have rotated A’B’C’D clockwise through an angle of γ/2 so that C’D coincides with CD (remember, they have the same length). Since A’C’ is shorter than AC, this diagonal is in compression (post 20.2); we will call the direction of this diagonal 1-direction and it has a length d1. Since B’D’ is longer than BD, this diagonal is in extension (post 20.2); we will call the direction of this diagonal 2-direction and it has a length d2.
Calculating strains
According to Pythagoras’ theorem (appendix 1 of post 16.50), the length of the diagonal of the un-sheared (blue) square is given by
d02 = L2 + L2 = 2L2
so that
d0 = L√2. (4)
From the picture above, we can see that the angle ABC is 90o and the angle A’DC is 90o – γ. The diagonal of length d2 bisects this angle so that the angle B’DC is (90o – γ)/2 = 45o – γ/2. Then
d1 = 2Lsin(45o – γ/2) = 2L{sin45ocos(- γ/2) + cos45osin(- γ/2)}
= 2L{sin45ocos(γ/2) – cos45osin(γ/2)}
= 2L{(1/√2)cos(γ/2) – (1/√2)sin(γ/2)}
= (L√2){cos(γ/2) – sin(γ/2)}.
The second step (in the first line) arises because sin(α + β) = sinα.cos β + cosα.sinβ (appendix of post 19.13); for basic information on sines and cosines, that I am using in this post (for example, sines and cosines of negative angles), see post 16.50. The sine of a small angle is approximately equal to the angle (measured in radians, post 17.11) and the cosine of a small angle is approximately equal to 1; see post 18.7 (using simple geometry) and post 18.6 (using a series expansion). So, for small angles, d1 can be expressed as
d1 = (L√2)(1 – γ/2) (5)
From equations 4 and 5, the engineering strain (post 20.2) in the 1-direction is given by
ε1 = (d1 – d0)/d0 = (d1/d0) – 1 = – γ/2. (6)
Note that this strain is negative because it is a compressive strain (post 20.2).
In the same way, we can calculate
d2 = 2Lcos(45o – γ/2) = 2L{cos45ocos(- γ/2) – sin45osin(- γ/2)}
= 2L{cos45ocos(γ/2) + cos45osin(γ/2)}
= 2L{(1/√2)cos(γ/2) + (1/√2)sin(γ/2)}
= (L√2){cos(γ/2) + sin(γ/2)}.
The second step (in the first line) arises because cos(α + β) = cosα.cos β – sinα.sinβ (appendix of post 19.13). Making the same small angle approximations as before,
d2 = (L√2)(1 + γ/2). (7)
Then, from equations 4 and 7, the engineering strain in the 2-direction, is given by
ε2 = (d2 – d0)/d0 = (d2/d0) – 1 = γ/2. (8)
Stresses
Since shear can be considered as a result of compressive stress in the 1-direction and tensile stress in the 2-direction, I am going to calculate these stresses. To do this, I’m going to think about our original cube before it was sheared. The picture below shows a square side of this cube with the forces acting on it.

The force leading to tension in the 2-direction is the vector sum of F and F’ (post 17.2). Since the modulus of these two forces is the same, the modulus of their resultant is
2Fcos45o = 2F/√2 = √2F.
This force acts on an area given by the length of AC (L√2 see equation 4) multiplied by the thickness of the cube (L). So the stress acting in the 2-direction is
σ2 = √2F/(L2√2) = F/L2 = σS. (9)
The last step comes from the definition of shear stress, σS, in post 20.19.
The force leading to compression in the 1-direction is the vector sum of – F and – F’. Since the modulus of these two forces is the same, the modulus of their resultant is
2Fcos45o = 2F/√2 = √2F.
This force acts on an area given by the length of BD (L√2 see equation 4) multiplied by the thickness of the cube (L). So the stress acting in the 1-direction is
σ1 = – √2F/(L2√2) = – F/L2 = – σS. (10)
The negative sign arises because the force is compressive.
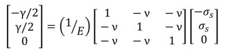
Relationship between E and n

The equation above is equation 2 from post 20.21 where the x, y and z-directions re taken to be the 1, 2 and 3-directions; the 3-direction is perpendicular to the 1 and 2-directions in a direction that makes a right-handed set (post 17.3). Shear does not distort the cube in the 3-direction so the stress and strain in this direction are equal to zero. Substituting results from equation 6, 8, 9 and 10 into the equation above then gives the equation below.

Matrix multiplication (appendix post 20.21) gives the result that
γ/2 = (σS/E)(1 + ν).
So that
E/2 = (σS/E)(1 + ν) = n(1 + ν).
The final step comes from the definition of shear modulus, n, in post 20.19. Multiplying both sides of this equation by 2 gives equation 2.
Related posts
20.21 Relationship between Young’s modulus and bulk modulus
20.20 Deformation of objects – isometric compression
20.19 Deformation of objects – change in shape
20.5 Poisson’s ratio
20.3 Hooke’s law
20.2 Deformation of objects