Before you read this, I suggest you read posts 17.44, 18.20 and 18.21.

The picture above shows an electric circuit containing a resistor of resistance R (post 17.44) and an inductor of inductance L (post 18.21). I have used standard symbols for a resistor and an inductor. There is a time-dependant potential difference, V, between P and P’ causing a current, I, to flow in the circuit.
The potential difference has to do work to move charges (create a current, post 17.44) through the resistor (post 17.44) and the inductor (post 18.21) that opposes any change in the current. As a result, the current is given by

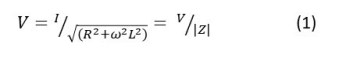
where ω is the angular frequency (post 17.12) associated with the time-dependent potential difference. Equation 1 defines │Z│, the modulus of the impedance of the circuit shown above.
When ω = 0, that is when V is steady and does not depend on time, equation 1 becomes Ohm’s law V = I/R (post 17.44).
Although both the resistor and the inductor reduce the current, they do so in different ways. The resistor dissipates electrical energy (posts 17.44 and 17.45); this is analogous to the dissipation of mechanical energy by a dashpot in a mechanical system (post 18.9). But the inductor opposes change in the system (post 18.21) in the same way that mass opposes change in the state of motion of objects in a mechanical system (post 16.13). So we can think of inductance as inertia (post 17.39) in an electrical system.

If the circuit contained only the resistor, I would be in phase with V, as explained in post 18.20. If it contained only the inductor, the phase of the current would be π/2 radians ahead of the current. The diagram above shows this effect in the Argand plane (see post 18.20). We can see that the impedance, Z, is represented by a complex number whose real part is the resistance and whose imaginary part is the effect of the inductance, so that
![]()
Equation 2 can be used to calculate │Z│ in equation 1. The angle θ associated with Z (its argument) represents the phase difference between the current and the potential difference and is given by

(see appendix 5 of post 16.50 for information about tan and post 17.2 for information about arctan).
The rest of this post justifies the statements made above.
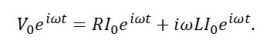
We will represent the time-dependent potential difference between P and P’ by V0eiωt, for the reasons explained in post 18.20, where i is the square root of -1 (post 18.16) and t represents time; V0 is the value of the potential difference when t = 0 (see post 18.20). Since this potential difference does work to move charges through the resistor and the inductor, we can write
![]()
The first term on the right-hand side of this equation is the definition of resistance (post 17.44) and the second term is the definition of inductance (post 18.21), where d/dt represents differentiation (post 17.19) with respect to time. As in post 18.20, from what we know about exponential functions (post 18.15), it seems reasonable to suppose that equation 4 will be satisfied if
![]()
So that

Substituting equations 5a and 5b into equation 4 gives

This is the same as writing

Equation 6 gives the form of the impedance, Z, in equation 2, whose modulus is given in equation 1 and whose argument (the phase term) appears in equation 3.
Related posts
18.21 Inductors and inductance
18.20 Capacitors and impedance
18.19 Capacitors and capacitance
17.47 How can birds sit on high voltage electrical cables…
17.45 Electrical energy
17.44 Amps, volts and ohms
17.24 Fields and vectors
16.25 Electrical charge