Before you read this post, I suggest that you read posts 16.25 and 17.17.

Everybody knows that amps and volts are electrical units. But what, exactly, do we use them to measure? And, how are they connected by Ohm’s law?
In post 16.25, we saw that amps (A) are used to measure electrical current. To have a current, something has to flow. We call whatever flows in an electrical current charge; charge is measured in coulombs (C) (post 16.25). An amp is the steady flow of 1 C in a time of 1 s (although we saw in post 16.25 that the amp is defined by the magnetic effects of a current and is then used to define a coulomb).
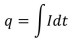
If you know about the mathematical techniques of differentiation (post 17.4) and integration (post 17.19), you may wish to read the rest of this paragraph – if not, ignore it. In general current, I, is the rate of change of charge, q, so that
I = dq/dt
where t represents time. Since I is defined without reference to q, the definition of q is
![]()
where the limits of integration are over the time that the current flows.
For a constant current, in which a charge Δq flows in a time interval Δt, we can write these equations as
I = Δq/Δt and Δq = I.Δt.
Here the symbol Δ means a sample of something, as in post 17.4.
Normally we think of current flowing in metal (especially copper) wires. Electrons can move easily in many metals; we call these metals conductors. All their electrons are not necessarily associated with a single atom and so are free to move, rather like the electrons in a delocalised molecular orbital (post 16.31); electrons in a form of carbon called graphite behave similarly and it is also a conductor. In post 16.27, we saw that electrons have a negative charge; when the electrons move, a current flows in the opposite direction, because their charge is negative.
Electrons are particles with a mass (post 16.27), so to make them move, we need to apply a force (post 16.12). When the force moves an electron, it does work (post 16.20). So to move charge from a point P along a conducting wire to a point P’, we need to do work on the electrons; we say that there is a potential difference between P and P’. In this example, we say that P has a higher potential than P’, because we need to do work to cause a current to flow. If P had a lower potential than P’, the charge would spontaneously flow from P’ to P. Note that when we say charges are flowing, electrons are flowing in the opposite direction. Also, we have defined a potential difference but not an absolute value for the potential because we cannot define a true zero potential. (In practice, we can define a zero potential as being the potential in the ground around a building and call this arbitrary zero the earth.)
The potential difference between two points is measured in volts. A volt (abbreviated to V) is defined as the work done when 1 C of charge moves from one point to the other. Since we measure work in joules (J), see post 16.20, 1 V is equivalent 1 J.C-1. Don’t confuse V, the standard symbol to represent the volt, with V (in italics), the symbol I have chosen to represent postential difference (see post 16.13).We sometimes call the potential difference between a point and an arbitrary zero, its voltage.
However, when a charge flows it experiences some resistance to flow. This resistance arises because electrons are not completely free to move – for example their movement can be opposed by repulsion by other electrons, since objects with the same charge repel each other (post 16.25). The higher the potential difference, the easier it is for charge to flow. So, for a constant current, I, we define electrical resistance between two points P and P’ by
R = V/I
where V is the potential difference between P and P’. This definition means that I = V/R, so for a fixed value of V, the higher the value of R, the lower the value of I. The relationship between potential difference, current and resistance is sometimes called Ohm’s law but it isn’t really a scientific law (see post 16.2), it’s a definition. (If Ohm’s law is simply stated as “the current in a conductor is proportional to the potential difference between its ends”, this is no more than a consequence of the definition of potential difference and charge.)
Since V is measured in volts and I in amps, we might expect to measure resistance in V.A-1. But this unit has a special name, the ohm (abbreviation Ω, the Greek letter capital “omega”).
Moving charge against resistance is not like stretching a spring (post 16.49). When we stretch a spring, it stores the work done on it as potential energy. But when a charge moves against a resistance, it loses all energy that it has gained – usually in the form of heat. We call a device that is intended to have appreciable resistance a resistor. So charge moving through a resistor is analogous to an object moving through a viscous fluid (post 17.17), in that both lose all the energy they gain when work is done on them.
We can carry this analogy even further. If we move an object along a straight line, we can represent its displacement and velocity as scalars x and v, respectively (post 17.4). Hence, we can also represent the forces acting along this line as scalars. (This follows from the definition of force in the second table of post 17.39). According to post 17.17, an object moving at a constant speed through a viscous fluid experiences a drag force of
F = –M.v = –M(Δx/Δt).
Here the minus sign shows that the drag force acts in the opposite direction to the force initiating movement. M depends on the dimensions of the object and the viscosity of the liquid (post 17.17). The final step in the equation above comes from the definition of v (the second table in post 17.39). When charges move through a resistor their movement is opposed by a potential difference that acts in the opposite direction to the potential difference initiating movement given by
V = –R.I = –R(Δq/Δt).
So, in both cases we have equations of the same form that represent a process that dissipates energy. R depends on the dimensions of the conductor and a property of the stuff it is made from, called its resistivity. When a current flows along a conductor of length L, with a cross-sectional area A, its resistivity, ρ, is defined by the equation
R = ρL/A.
Resistivity is defined in this way because the longer the conductor, the greater the resistance that a moving charge encounters but a greater cross-sectional area means that there are more electrons available to carry the charge – so the resistance is smaller. Multiplying both sides of the previous equation by A/L gives
ρ = RA/L
Since we, measure L in m and A in m2 (post 16.13), we measure resistivity in Ω.m2/m = Ω.m.

The table above shows the resistivity of some conductors. The best conductor in the table is silver because it has the lowest resistivity. Copper has a slightly higher resistivity but is much cheaper, so is the most common material for conducting electricity. Aluminium can be used for overhead cables because it has a much lower density than copper so the cables weigh less (see posts 16.17 and 16.44).

Resistors that are mounted on electronic circuit boards (see picture above) are a few millimetres long and usually made of graphite, because it has a high resistivity, with metal connecting wires. However, graphite is not strong and it is difficult to manufacture large objects from it. So an electric kettle heating element, which is a big resistor, is made from nichrome which has a lower resistivity than graphite but is easier to handle.
In summary, current flows through conductors and is measured in amps. When a current flows, charges move. Charges move when a potential difference, measured in volts, exists between the ends of a conductor. There is some resistance, measured in ohms, in any conductor, which impedes the flow of charge.
Related posts
17.24 Fields and vectors
16.25 Electrical charge