Before you read this, I suggest you read posts 17.44 and 18.19.

Let’s think about the current I in the circuit above, which contains a resistor, of resistance R (post 17.44) and a capacitor, of capacitance C (post 18.19). A potential difference, V, which depends on time t is applied between P and P’ (see post 18.19). If there were no capacitor in the circuit, the current would be given by
![]()
(post 17.44). Remember that current is simply the rate of change of charge. So, when V is high, charges will be stored on the capacitor instead of flowing to form a current. As a result, the current is reduced.
The current in the circuit is given by
![]()
Equation 2 (derived below) defines │Z│, the magnitude of the impedance of the circuit shown above; here ω is the angular frequency (post 17.12) associated with the dependence of V on t. When C = 0, equations 1 and 2 are identical.
But the resistor and the capacitor reduce the current in different ways. The resistor reduces the flow of charge by dissipating electrical energy (post 17.44). This is analogous to the way a dashpot reduces motion of an object by dissipating mechanical energy (post 18.9). But the capacitance stores the flowing charge and discharges it again when V is low (post 18.19). This is analogous to the way a spring stores mechanical energy but releases it again on recoil (post 16.49). Both the resistor and the dashpot dissipate energy. Both the capacitor and the spring store energy – the capacitor stores energy because the charges have no kinetic energy (post 16.21) when stored but they regain it on discharge.
The ability of the capacitor to charge, when V has its maximum value, and discharge, when the value of V reduces, means that it introduces a phase difference (post 18.11) between I and V. Suppose the circuit shown above had no resistance. Then, when V had its peak value, there would be no current (because the charge would be stored); when V had its lowest value, the current would have its peak value (because the capacitor was discharging and not being charged). So, a capacitor causes the phase of the current to lag π/2 radians (see post 17.11 for the definition of a radian) behind the voltage.
A resistor causes no change in phase because it simply dissipates some of the electrical energy when current passes through it.
In post 18.17, we saw that phases could be represented by the angle associated with a complex number (post 18.16). As a result, the behaviour of the capacitor and the resistor can be represented, in the Argand plane (post 18.16), as shown below.

Adding the real part of the complex number to the imaginary part yields the impedance
![]()
Multiplying Z by its complex conjugate gives │Z│ (post 18.16).
The remainder of this post is about deriving these results.
Let’s represent the time-dependent voltage as V0eiωt. This is more general than it might appear at first. It contains both sine and cosine waves. And any wave shape can be considered as a sum of sine and/or cosine waves (post 18.14). When this potential difference exists between P and P’ (in the picture at the top of this post), the capacitor stores charge and the resistor reduces the current. Since the current is given by I = dQ/dt (the rate of change of Q – see post 17.4), the previous sentence means that
![]()
We are now going to solve this differential equation to find how Q depends on t. From what we know about exponential functions (post 18.15), it seems reasonable to suppose that the equation will be satisfied if
![]()
where Q0 is the value of Q when t = 0. Then

Substituting equations 5 and 6 into equation 4 gives
![]()
Dividing each term by eiωt gives
![]()
So, our initial idea (equation 5) provides a solution to the differential equation (equation 4). This result can be written as
![]()
Multiplying both sides of this equation by eiωt gives

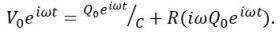
Remembering that that V = V0eiωt and substituting equation 6 into equation 7 gives

The final result arises because I = dQ/dt. Now let’s look at the expression in brackets on the right-hand side of this result. Multiplying the top and bottom of its first term by i (and remembering that i2 = -1) gives

When V changes with time, Z replaces R in the relationship between potential difference and current. However, equation 8 assumes that the circuit contains only a resistor and a capacitor. To obtain a more general expression for impedance, Z, we need to find out about inductance – the subject of the next post.
Related posts
18.19 Capacitors and capacitance
17.47 How can birds sit on high voltage electrical cables…
17.45 Electrical energy
17.44 Amps, volts and ohms
17.24 Fields and vectors
16.25 Electrical charge