Before you read this post, I suggest that you read posts 18.28 and 19.2.

In post 18.28, we saw how to use the ideal gas equation to predict the osmotic pressure, π, from its molarity, CM (post 17.48). The ideal gas equation predicts that the osmotic pressure could be calculated using the equation
π = CMRT (1)
where R is the ideal gas constant (post 18.25) and T is the temperature, measured on the Kelvin scale (post 16.34). This prediction works reasonably well for dilute solutions of neutral molecules.
But the prediction doesn’t work well for solutions of ions (post 16.39) or dissolved molecules that don’t have an even distribution of electrical charge. We call these solutions non-ideal solutions, but I have called this post “Real solutions” for the same reason that I called post 19.2 “Real gases”. It is possible to develop a theory of real gases by considering the reasons why the ideal gas equation fails to work at high pressures – leading to the van der Waals’ equation (post 19.2).
But this theoretical approach is not the way that people conventionally describe the behaviour of non-ideal solutions. Instead, it is conventional to multiply the right-hand side of equation 1 by a number that makes the equation work; this number, γs, is called an activity coefficient. So we could write equation 1 in the form
π = γsCsRT (2)
where γs represents the activity coefficient of the stuff dissolved in a solution with a molar concentration (measured in mol.dm-3, post 17.48) of Cs.
It is important to note that γs may not be based on any theory, it’s simply an empirical factor – a number that experiment shows just happens to work. So γs itself can depend on concentration! We can also define the activity of the solution of the dissolved stuff by as = γsCs. Then equation 2 becomes
π = asRT (3).
Although γs values come from experiment, there are theories that are reasonably good for explaining their values for solutions of ions (post 16.39). The first of these theories was proposed by Peter Debye (1884-1966) and Erich Hückel (1896-1980). You can tell that Debye was famous because he is shown (by a red arrow) in the picture with Bohr (post 16.25), Einstein (post 16.11), Heisenberg (post 16.29) and Schrödinger (post 16.15) as well as a lot of other famous people – the woman on the front row is Marie Curie.
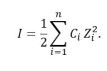
The most important assumption of the Debye-Hückel theory is that positive and negative ions move around independently of each other. For example, in a solution of sodium chloride, a sodium ion is not associated with any particular chloride ion; see post 16.39 to understand why this is a reasonable assumption. The theory is complicated, but the main conclusion is that the activity coefficient for an ionic solution depends on its ionic strength, I, defined by

The summation symbol, Σ, is explained in post 17.19. The sum is over all n of the different ion types, like the ith, in the solution. Zi is called the oxidation number of the ith ion type; for An+ is has the value +n and for Bm- it has the value -m. For very dilute solutions, the activity coefficient is proportional to I1/2 (If you’re not sure what this means, see post 18.2).
There have been several extensions of the original theory. I think the most interesting is that an ion excludes other ions from a much larger volume than you might expect. The reason is that a positively charged ion attracts the negatively charged end of the water molecules (post 16.45) around it. They form a solvation sphere which excludes other ions from their volume. Negatively charged ions do the same, except that they attract the positively charged end of a water molecule.
As far as possible, science looks for simple explanations for many different kinds of observations (post 16.9). Unfortunately, non-ideal solutions are so complicated that they appear to resist a single neat explanation.
Related posts
19.2 Real gases
18.28 Applying the gas laws to solutions
16.45 Water
16.39 Ions