This post is about an obscure mathematical technique that will not interest many people.

So why have I written it? There are two reasons. One: I mentioned this topic in appendix 2 of post 22.15 so some readers may want to know more about it. Two: many books on physics and engineering change the mapping of an integral, often without explicitly saying that is what they are doing. These books usually use the method I explained in post 22.15. But using a Jacobian is sometimes easier (especially in two dimensions) and, therefore, may be useful for students.
The structure of this post is to answer the questions:
- What do I mean by changing the mapping of an integral?
- What is a Jacobian?
- How is a Jacobian used to change the mapping of an integral?
- Does this method give the same result as I obtained in post 22.15?
Part 4 is important because I am not going to prove the method given in part 3. So part 4 is used to justify that the method works.
1. Changing the mapping of an integral
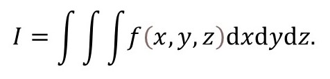
Suppose that f(x, y, z) is a function of x, y and z only. We can integrate this function, with respect to the three variables to obtain

Now suppose that we transform the function so that it depends on three other variables u, v, w. If we want to evaluate I from this form of the function, we need to calculate

But how do we do this – we are trying to evaluate the integral with a different set of variables to those that define the value of the function. We need to change the mapping of the integral – that is we need to change the variables involved in integration from x, y and z to u, v and w.
2. Jacobians
The Jacobian is named after the German mathematician Carl Jacobi (1804-1851).
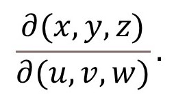
The Jacobian that enables us to change the mapping of I from x, y and z to u, v and w is represented by

It is defined by the determinant of partial derivatives shown below.

3. Using a Jacobian to change the mapping of an integral
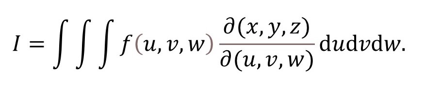
Then we can change the mapping of our integral by writing

I am not going to prove this result. Instead, I will use it to change the mapping of an integral from Cartesian coordinates into spherical polar coordinates. I did this in appendix 2 of post 22.15 by a conceptually simple method that is not easy to implement. Below I will use the Jacobian to obtain the same results.
4. Using a Jacobian to convert a mapping from Cartesian to spherical polar coordinates
If the Cartesian coordinates of a point are (x, y, z) and its spherical polar coordinates are (r, θ, ϕ) then
x = rsinθcosϕ
y = rsinθsinϕ
z = rcosϕ
as explained in post 22.15. Now

If you’re not sure how I calculated these derivatives, see post 22.10.
The Jacobian we need to change the mapping of our integral is

The evaluation of this determinant is described in post 17.37. We need to evaluate the three determinants

and then add them together. The result is

Since the sum of the squares of the sine and cosine of any angle is 1 (see post 16.50) this gives

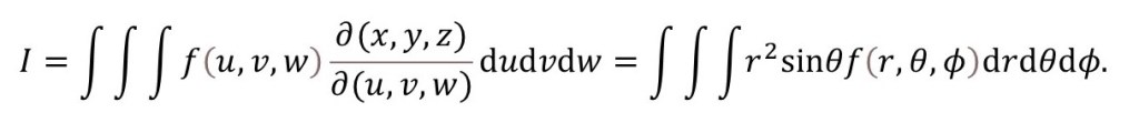
So

which is the result obtained in post 22.15. This method may involve a lot of algebra but, unlike the method of post 22.15 it is a method to change the mapping of any integral.
Related posts
22.10 Differentiation
22.8 The catenary
21.3 Polar coordinates, circles and spirals
20.34 The operator del
19.11 Partial differentiation
19.10 Differential equations