Before you read this, I suggest you read post 19.21.

The picture shows an object (in yellow) with two convex curved surfaces. This object is made of a material whose refractive index in air, n, is greater than 1; we will suppose that this material is glass but it could be any transparent material with n > 1. The line joining the intersection of the two convex surfaces defines the y-axis of an orthogonal Cartesian coordinate system; the origin is at O, the centre of the object.
Light is propagated along the path shown by the red line in the positive x-axis direction (from left to right in the picture) through air then the glass object and then through air again. We call this path a ray and the technique of following the path of rays, as in this post, ray tracing. The blue dashed line is perpendicular to the tangent to the glass surface at the point where the ray meets it. Refraction causes the ray to be bent towards this line, as explained in post 19.21. The green dashed line is perpendicular to the tangent to the glass surface where the ray leaves it. When the light moved from air to glass, its path was bent towards the blue dashed line. But when it passes from glass to air, it is bent away from the dashed line – as shown in the picture. In post 19.21, we saw that these results can be explained by light moving faster in air than in glass. The overall result is that a ray is bent towards the x-axis, crossing it at P.
An object that bends the path of light to change its direction is called a lens. The x-axis is sometimes called the principal axis of the lens. Now let’s suppose that the light is propagated at A whose coordinates are (-u, 0) and define the position of P to be (v, 0). The ray is propagated at an angle θ to the x-axis. We are now going to think about a lens whose thickness is negligible and that can only accept rays with small values of θ. In many applications the shape of the lens, perpendicular to the plane of the picture is circular with a radius r. Then, for a fixed position of A, there will be a maximum value of θ that the lens can accommodate – this maximum value is called its angular aperture.

Not all lenses have two convex surfaces; some other shapes are shown in the picture above. If we apply the reasoning of the second paragraph to a lens with two concave surfaces (a bi-concave lens), we see that it bends light away from the x-axis, as shown in the picture below. A lens with two convex surfaces (a bi-convex lens) is called a converging lens: a bi-concave lens is called a diverging lens.
The remainder of this post is about a thin lens with a small angular aperture – so it does not look like the picture but is much thinner with a much smaller value of r. But I will continue to exaggerate the shapes of lenses, as in the picture to make explanations clearer.
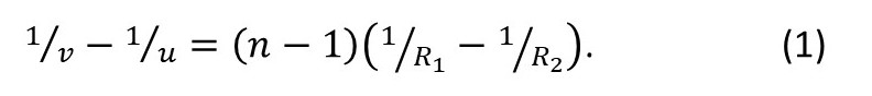
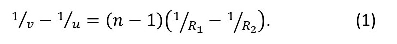
In appendix 1, I show that

In equation 1, R1 is the radius of curvature of the left-hand surface of the lens and R2 is the radius of curvature of the right-hand surface; n is the refractive index of glass. This result means that for our lens 1/v – 1/u depends only on its geometry and the refractive index of its glass. This inverse distance is independent of the angle θ. We can then define
1/f = 1/v – 1/u (2)
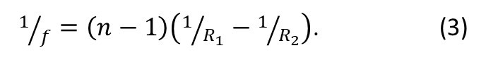
where f is called the focal length of the lens. Combining equations 1 and 2 gives

Equation 3 is sometimes called the lens-maker’s equation because it can be used to design a lens.
You may see equations 2 and 3 written with different signs. This is because there are different sign conventions used to calculate what happens when light passes through a lens. The convention that I am using is explained in more detail in appendix 4 and is called the Cartesian sign convention. Let’s think about a bi-convex lens. The distance from the origin to the centre of curvature of the first surface is in the positive x-axis direction, so R1 has a positive value. The distance from the origin to the centre of curvature of the second surface is in the negative x-axis direction, so R2 has a negative value. As a result, f is positive for a bi-convex. The same sort of reasoning leads to the conclusion that f is negative for a bi-concave lens. What does a negative value of f mean? It means that, if we extend the refracted rays backwards, they appear to cross the x-axis (the principal axis) in the negative direction, as shown below.


Now let’s suppose that A is so far from the lens that R1 is close to infinity. Then, from equation 2, v = f since 1/∞ = 0. For all values of θ, the light rays will be effectively parallel when they reach the lens. So, the lens focusses parallel rays of light to a point that is a distance f from the lens, as shown in the picture above; this point is called the focal point of the lens We can use this result to start a fire with our lens by focussing radiation from the sun on to a piece of paper.
Note also that any ray passing through the centre of the lens is not deflected. If both surfaces of the lens have the same radius of curvature, the ray will be bent by equal and opposite angles when it passes through the centre. Then, if the thickness of the lens is negligible, the ray will continue along its initial direction.
Lenses are used in very many different devices like telescopes, microscopes, spectacles etc. I hope to write about some of them in future posts.
Related posts
Follow-up posts
22.2 The projector
22.3 The magnifying glass
22.11 The microscope
Appendix 1
The purpose of this appendix is to derive equation1.

Figure 1 is like the left-hand side of the first picture in the main text, except that that ray from A passes into a continuous block of glass. U is the point at which the ray meets the curved surface. C1 is at its centre of curvature. So C1U is perpendicular to a tangent of the curve at U (and so is perpendicular to the curved surface at this point); the distance from C1 to U is the radius of curvature. All this geometry is explained in post 21.19. B is the point where the ray now meets the principal axis. UE is the extension of C1U. The angles θ and β1 are two internal angles of the triangle AUC1 as marked; γ is the internal angle of the triangle C1UB as marked.

Figure 2 is like the right-hand side of the first picture in the main text, except that that ray emerges from a continuous block of glass. U’ is the point at which the ray leaves the curved surface. C2 is at its centre of curvature. So C2U’ is perpendicular to a tangent of the curve at U’ (and so is perpendicular to the curved surface at this point); the distance from C2 to U’ is the radius of curvature. B is the same point as in Figure 1. U’E is the extension of C2U’. The angles θ’ and β2 are two internal angles of the triangle PU’C2 as marked; γ is the same as in Figure 1.
In Figure 1, the angle AÛE is the angle of incidence, i1, and C1ÛB is the angle of refraction, r1. Similarly, in Figure 2, r2 is defined to be the angle between the ray in the glass and U’C2; i2 is defined to be the angle PÛ’E’.
From the definition of refractive index
sini1 = nsinr1 and sini2 = nsinr2.
Making the small angle approximation for the sine of an angle gives
i1 = nr1 and i2 = nr2 A1
where all the angles are measured in radians.
In Figure 1, i1 is an external angle of the triangle AUC1 and β1 is an external angle of triangle BUC1 (see appendix 2). An external angle of a triangle is equal to the sum of its opposite internal angles (appendix 2) so that
i1 = θ + β1 and β1 = r1 + γ so that r1 = β1 – γ. A2
From equations A1 and A2
θ + β1 = n(β1 – γ). A3
Now look at the triangles PU’C2 and BU’C2 in Figure 2. They have external angles
i2 = θ’ + β2 and r2 = β2 + γ. A4
From equations A1 and A4
θ’ + β2 = n(β2 + γ). A5
Adding equations A3 and A4 gives
θ + β1 + θ’ + β2 = n(β1 + β2).
Rearranging this result gives
θ + θ’ = (n – 1)(β1 + β2). A6
Now let’s suppose that the lens is very thin so that U and U’ are almost coincident and vertically above O and define h = OU = OU’. Remembering that C1U and C2U’ are radii of curvature, we define their lengths to be R1 and R1, respectively. Then, from the small angle approximations for the sine and the tangent of an angle
θ = h/(-u), θ’ = h/v, β1 = h/R1 and β2 = h/(-R2). A7
Note that h is in the positive y-axis direction and so is positive. Similarly, v and R1 are in the positive x-axis direction and so are positive. But u and R2 are in the negative x-axis direction and so are negative. Combining equations A6 and A7 gives

Appendix 2
The purpose of this post is to show that an external angle of a triangle is equal to the sum of its opposite internal angles.

In the picture above, ABC is a triangle. The internal angle at A is α, at B it is β and at C it is γ.
Now let’s extend the side BC to D and call the angle AĈD θ (the little pointed hat on the letter C is to show that AĈD represents an angle); θ is called the external angle of the triangle at C.
Since BD is a straight line θ + γ = 180o (half-way round a circle).
But α + β + γ = 180o (because the sum of the internal angles of a triangle is 180o, see appendix 3).
So α + β = θ.
Appendix 3
The purpose of this post is to show that the sum of the internal angles of a triangle is 180o.

In the picture above, the line DE is drawn parallel to the side BC of triangle ABC. The angle DÂB is equal to ϕ and CÂE is equal to ψ.
Since DE is parallel to BC ϕ = α. This is because if they were unequal DE would slope towards BC and they would no longer be parallel. Similarly ψ = β.
Now ϕ + α + ψ = 180o (half-way round a circle).
So γ + α + β = 180o.
Appendix 4
The purpose of this appendix is to show some numerical examples of the sign conventions that I have used.
Example 1
A source of light is on the principal axis of a converging lens, 15 cm from its centre. A ray of light from the source passes through the lens, at a non-zero angle to its principal axis. If the focal length of the lens is 10 cm, where does the ray meet the principal axis?
In all these examples, we assume the source is on the left-hand side of the lens so that it is the negative x-axis direction. Then
u = – 15 cm (note the negative sign because the source is in the negative x-axis direction) and f = 10 cm.
Equation 2 states that 1/f = 1/v – 1/u so that 1/v = 1/f + 1/u.
Substituting values for f and u into this result gives
1/v = 1/10 +1/(-15) = 3/30 – 2/30 = 1/30 cm-1, so that v = 30 cm.
Note that the result is given to two significant figures.
Example 2
The two faces of the lens in example 1 have the same radius of curvature, R, and it is made of glass whose refractive index is 1.6. What is the value of R?
According to equation 3

Now we define R1 = – R2 = R. The value of R2 is negative because its centre of curvature is in the negative x-axis direction. Then

so that
R = 2(n – 1)f.
Here n = 1.6 and f = 10 cm. Substituting these values into the previous equation gives
R = 2 × (1.6 – 1) × 10 = 12 cm.
Example 3
A source of light is on the principal axis of a diverging lens, 30 cm from its centre. A ray of light from the source passes through the lens, at a non-zero angle to its principal axis. If the focal length of the lens is 15 cm, where does the ray meet the principal axis?
As in example 1, u = – 30 cm but f = – 15 cm because the focal length of a biconcave lens is negative for the reason given in the main section of this post.
As in example 1, 1/v = 1/f + 1/u = 1/(-15) + 1/(-30) = -2/30 – 1/30 = -3/30 = -1/10 cm-1., so v = 30 cm.
Example 4
The two faces of the lens in example 1 have the same radius of curvature, R, and it is made of glass whose refractive index is 1.6. What is the value of R?
According to equation 3

We define – R1 = R2 = R. Now the value of R1 is negative because its centre of curvature is in the negative x-axis direction. Then

so that
R = -2(n – 1)f.
Here n = 1.6 and f = – 15 cm. Substituting these values into the previous equation gives
R = -2(1.6 – 1)(-15) = 2 × 0.6 × 15 = 18 cm.