To make an object go round in a circle, we must exert a force that pulls it towards the centre of the circle. This force is called the centripetal force. If the object is a container, any object within the container experiences a force of
F = mω2r (1)
that pushes it away from the centre – the centrifugal force. Here m is the mass of the object in the container, ω is its angular speed and r is the distance from the centre of the circle.

Centrifugal force can be used in a device called a centrifuge (see picture), for example, to separate blood cells from the surrounding liquid, when blood is contained in a rotating tube. The separation process is called centrifugation.
When particles are separated from a liquid, we need to modify equation 1 because of Archimedes’ principle to get
F = m[1 – (ρ0/ρ)]ω2r (2)
as explained in appendix 1. Here ρ0 is the density of the liquid and ρ is the density of the particles.
So, the centrifugal force moves particles to the bottom of the tube. This is analogous to the gravity moving an object to the surface of the earth. We can then define a centrifugal potential energy in the same way as we can define a gravitational potential energy. The difference in potential energy at radii r and r0 (where r0 is the radius at the bottom of the tube so that r0 > r) is then given by
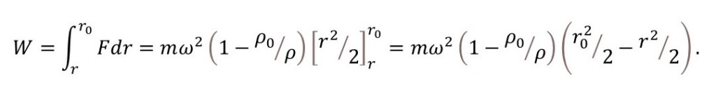
ΔE = m[1 – (ρ0/ρ)]ω2[(r02 – r2)/2] (3).
Equation 3 is derived in appendix 2. According to the Boltzmann distribution, the number of particles at radius r is then given by
nr = n0exp{-(m/2kT)[1 – (ρ0/ρ)]ω2(r02 – r2)} (4)
where n0 is the number of particles at the bottom of the tube, k is Boltzmann’s constant and T is the temperature (on the Kelvin scale); exp means the number e raised to the power of the contents of the {brackets}.
To minimise the number of particles that are not at the bottom of the tube, we must make mω2 as large as possible. (At a given temperature, noting that k is a constant, and that ρ0 and ρ are constants for a given liquid and solid). This means that if m is much smaller than, for example, the mass of a blood cell, we need to increase ω to separate the particles. To separate blood cells the centrifuge tube typically rotates at about 2 000 revolutions per minute (ω = 2 000 × 2π/60 ≈ 200 rad.s-1, where rad is the abbreviation for a radian). To separate protein molecules from a liquid, the tube rotates at 30 000 – 60 000 revolutions per minute; at 60 000 revolutions per minute (ω = 60 000 × 2π/60 ≈ 6 000 rad.s-1). This is because m is much smaller for protein molecules than for blood cells. A device that rotates a tube at this higher angular speed is called an ultracentrifuge and the process of separating the molecules is called ultracentrifugation.
Finally, I am going to explain a technique called density gradient ultracentrifugation. This technique was important for testing ideas about how genetic information is copied.
Suppose that we put a solution of molecules or ions, that have a much smaller mass than a protein molecule, into an ultracentrifuge. We will not get complete separation of these particles from the surrounding liquid, because ω is too small. However, there will still be a centrifugal force acting so that equation 4 still applies – so we will get more particles as r increases. This increased number of particles increases the density of the solution – resulting in a density gradient that increases with increasing r.
Now let’s suppose that we introduce larger molecules, of mass m, into the density gradient. According to equation 4, the force on one of these molecules is
F = m[1 – (ρr/ρ)]ω2r (5).
Here ρr is the density at a radius r. When ρ = ρr there is no force acting on the large molecules so they do not move in the density gradient. The large molecules can be detected because their high concentration at this point causes an increase in the refractive index of the solution at r.
Related posts
17.29 Centrifugal force
17.13 Centripetal force
Follow-up posts
21.14 Copying genetic information
Appendix 1
The purpose of this appendix is to derive equation 2.
Previously we have thought about Archimedes’ principle when an object is immersed in a liquid in a gravitational field. Exactly the same arguments apply to an object immersed in a liquid in a centrifugal force field. In a gravitational field, the total force acting on an object immersed in a liquid is given by
Fg = Vg(ρ – ρo)
where V is the volume of the object and g is the acceleration due to gravity. Dividing the right-hand side of equation 5 by m, the acceleration in a centrifugal field is
[1 – (ρ0/ρ)]ω2r.
So, the total force acting in a centrifugal field is
FA = – V(ρ – ρo)ω2r
From the definition of density V = m/ρ so that
FA = – (m/ρ)(ρ – ρo)ω2r.cosα = m[(ρ/ρ) – (ρo/ρ)] ω2r.
This result simplifies to equation 2.
Appendix 2
The purpose of this appendix is to derive equation 3.
Let’s think about the work done in moving a particle between r0 and r. According to post 17.36, this is given by

Assuming that the dissipation of energy in this process is negligible, this work will be stored as potential energy.