
The picture shows a line of length a and another line of length b that are joined to make a line of length a + b. Note that a is longer than b. Now if
a/b = (a + b)/a
the result is called the golden ratio, φ. It has other names: for example, the golden number, the golden section, the golden mean, the divine proportion and several more. The value of φ to three places of decimals is 1.618. But we can’t find the exact value of φ because we can keep adding further numbers after the decimal point to get an even more accurate result – just as we can for π (post 17.11) or e (post 18.15).
In this paragraph, I explain how we can calculate the value of φ. But you can skip this and still understand the rest of the post. Multiplying both sides of the equation above by ab gives
a2 = ab + b2
and subtracting ab + b2 from both sides gives
a2 – ab – b2 = 0.
Dividing by b2 gives
(a/b)2 – (a/b) – 1 = 0.
Since a/b = φ, we can write this result as
φ2 – φ – 1 = 0.
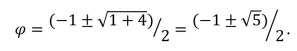
This is a quadratic equation that we can solve using the formula in post 18.5 (appendix 3) to give

The symbol + means either plus or minus, so the equation has two solutions. But the minus sign gives us a value for φ that is negative, so a must be negative. But we can’t have a line with a negative length so

Why is the golden ratio important? It is often claimed that many things that we find attractive have proportions based on the golden ratio. Examples are the dimensions of pictures and classical buildings, like the Parthenon in Athens, Greece. I think that what we find attractive is subjective and so can’t be investigated by the objective methods of science (post 16.22). But it could be argued that this observation tells us something about human perception, so we’ll continue to investigate it.
Unfortunately, I think that the supposed link between attractiveness and the golden ratio is not true.
Let’s think about pictures first. The most popular sizes to enlarge photographs to hang on the wall have values for the long side divided by the short side of 1.25 and 1.27. A painting by Rembrandt has a value 0f 1.21. These values are not the golden ratio. Also, common sizes for artist’s canvasses have values of 1.12, 1.50, 1.67 and 1.33. Only the value of 1.67 is close to the golden ration and even then it’s not very close to 1.618. Most people who write about the golden ratio only try to find examples that support their idea. But to test the idea, we have to see if there are examples that show it is false – if you see a million swans that are all white, it doesn’t prove that all swans everywhere are white (see post 16.3).

What about buildings, and design in general? The picture above shows the Palace at Versailles, just outside Paris. It was built for the French King Louis 14 and building started in 1682. It is considered one of the most beautiful buildings in France. But you can see that the length divided by the height is much greater than the golden ratio. You can find endless examples of buildings and other artefacts that many people find attractive that have no relation to the golden ratio.
There is no evidence for the idea the attractive designs are based on the golden ratio. So why does the idea persist. Maybe it’s because people like things that are mysterious. Perhaps it’s because some people believe that, if they have an idea that they can describe with numbers, they are doing science. Some people seem to believe that if they use words borrowed from science or that they can use numbers to describe ideas, that these ideas are somehow “scientific”. And the first step in doing science is to imagine ideas that might be true. But the next step is to be critical and look for evidence that shows the idea is false (post 16.3). You have a scientific theory only if you can’t falsify your idea.
Related posts
18.16 The square root of minus 1 and complex numbers
18.15 More about exponential growth: the number e
18.3 Logarithms
18.2 Powers of numbers
17.11 Measuring angles
Follow-up posts