Before you read this, I suggest you read posts 17.19 and 17.22.
This post uses the mathematical technique of integration (post 17.19) to explore further the concepts of centre of mass (post 17.21) and centre of gravity (post 17.22). If you don’t like mathematics, you probably won’t want to read this post.
In post 17.22, we saw that, when an object is in a gravitational field, the centre of gravity is the point about which the total torque acting on the object, as a result of the gravitational force, is zero. The total torque is zero because the total clockwise torque (negative) balances the total anticlockwise torque (positive).
Now we’ll use this idea to calculate the position of the centre of gravity of an object.

In the picture above, we define an origin, O, at some identifiable point on the object. We want to find the position of P, the centre of gravity, about which the total torque is zero. If the object has a mass M, the magnitude of the gravitational force acting on it is Mg where g is the magnitude of the gravitational field (post 16.16). This gravitational force acts through P in a vertical direction.
Why do we consider that the gravitational force acts through P? Since P is the centre of gravity, it is also the centre of mass, if the gravitational field is constant (post 17.22). When a force acts on an object, it is as if it acted on a particle, with the same mass as the object, whose position is the centre of mass of the object (post 17.22).
If R is the perpendicular distance from O to the gravitational force vector, the gravitational force exerts a torque of MgR about O.
Now let’s think of the object as being made up of very many very small objects (as in post 17.22). Suppose one of these very small objects has a mass δm and is a perpendicular distance r from O (see post 17.10). The gravitational force acting on this very small object exerts a torque of δm.gr about O. We can consider that the total torque acting on the whole object is the sum of these very small toques, so that

Here the summation is over all the very small objects making up the total object; see post 17.19 for more information on this way of writing a lot of little things added together. The equation above is only approximate (which is why the “≈” sign is used instead of the “=” sign) because considering an extended object as being an assembly of smaller finite objects is an approximation. However, in the limit that the objects become infinitesimally small, this equation becomes exact and we can write it as

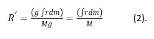
as explained in post 17.19, where the limits of integration are over the whole object. So, the position of the centre of gravity is given by

If g is constant, we can write equation (1) as

See post 17.19 for more explanation. Now R’ does not depend on g and is the position of the centre of mass of the object.
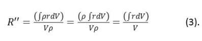
Now let’s suppose that the density, ρ, of the object is the same throughout its volume; then M = Vρ and δm = δV.ρ. Here, V represents the volume of the object and δV the volume of a small part of it. Now we can write equation 2 as

We can place ρ outside the integral sign (middle step in equation 3) because it is a constant. Now R’’ is the geometric centre or centroid of the object.
For an object in a constant gravitational field with a uniform density, the centre of gravity, centre of mass and centroid are all in the same place.

To make these calculations less abstract, let’s find the position of the centroid of a cone. Since the cone is symmetric about its axis, its centroid must be somewhere on this axis (see also posts 17.21 and 17.22). You may remember, for a cone of height h and radius r, that V = πr2h/3 or you could search for it on the web. Alternatively, you can work it out as described in the Appendix.

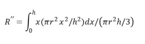
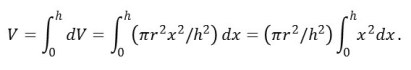
In the diagram above, we place an origin, O, at the apex of the cone and its axis defines the X-axis direction. We consider a very thin slice of the cone of thickness δx and radius y and distance x from O, as shown. The volume of this slice is given by δV ≈ πy2.δx (the approximation arises because the slice does not have a constant radius but gets better as the slice gets thinner). The slope of the side section of the cone shown above can be calculated as r/h or as y/x. So r/h = y/x or y = rx/h. Substituting this result into our expression for δV gives δV ≈ π(rx/h)2.δx = πr2x2/h2.δx. Putting this result and the expression for V into equation 3 (and noting that the slice is a distance x from O) gives

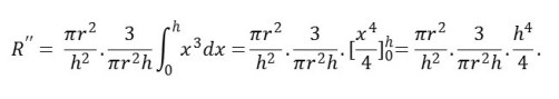
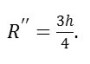
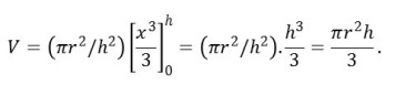
where the limits of integration include the total height of the cone. Now we can put all of the constants in front of the integral sign (because they simply multiply the result of integration – see post 17.19) and collect all the constants in this equation together – with the result that

When we simplify the right-hand side of this equation, we get

So, the centroid of a cone is three-quarters of its height away from its apex. We might have expected a result something like this because most of the volume of a cone is near its base.
Using equation 3 to calculate the position of a centroid involves a lot of mathematical manipulation! But I hope this post shows how it can be done.
Related posts
17.19 Calculating distances from speeds – integration
17.4 Displacement, velocity and acceleration
17.3 Three-dimensional vectors
17.2 Vectors
Appendix
To calculate the volume, V, of the cone, we note that the volume is simply the sum of an infinite number of infinitesimal slices (like that shown in Fig 7). So

When this definite integral is evaluated, the result is
