Before you read this, I suggest you read post 17.19.

This post illustrates the application of integration to calculate velocity and speed from acceleration, as described in post 17.19. In this post, we will consider an object (like the rock in the picture above) falling close to the surface of the earth, so that the acceleration due to gravity, g (also the gravitational field, see post 16.16), is approximately constant; to see why this is true, see the appendix. We will also neglect the effect of drag, as explained in post 17.18.
Firstly, we shall calculate the velocity, v, which the object gains after it has been falling for a time t. According to post 17.19, v is given by the integral of the acceleration with respect to time

where K1 is a constant of integration (post 17.19); note that to evaluate the integral of equation 1, we assume that g is a constant. In order to use this result, we have to find a physically reasonable value for K1. When we start to measure the time, t = 0 (by definition); we represent the velocity at this time by vo. Substituting these values into the result on the right-hand side of equation 1, gives the result
vo = K1 + 0 so that K1 = vo.
Substituting this result into the right-hand side of equation 1, gives
v = vo + gt. (2)
The condition that we use to find a constant of integration ( here vo = K1 + 0 ) is called a boundary condition.
If we take the value of g, the modulus of g (post 17.2), to be 9.8 m.s-1 (post 16.16), an object that initially wasn’t moving will gain a speed of
v = 0 + (9.8 ×3) = 29 m.s-1.
after a time of 3.0 s has elapsed. Notice two things: (1) v, the speed, is the modulus of v, the velocity, (see post 17.4) and (2) we give the result of the calculation as 29 and not 29.4 m.s-1, for the reason given in post 16.7.
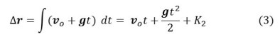
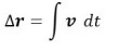
Now we shall calculate the change in displacement (post 17.4) Δr of the object in the time interval t. According to post 17.19, Δr is given by
![]()
If we substitute the expression for v from equation 2 into this integral, we obtain the result that

where K2 is a constant of integration (post 17.19); note that, to evaluate this integral, we assume that g is constant. To find a value for K2, note that Δr is the change in displacement of the falling object since t = 0; so, when t = 0, Δr = 0. Substituting these vales into the right-hand side of equation 3 gives
0 = 0 + 0 + K2, so K2 = 0.
Substituting this value of K2 into equation 3 gives
Δr = vot + ½gt2 (4)
So, how far does the object in our previous example fall in 3.0 s? Using the same information and reasoning as before
Δr = 0 + ½(9.8 × 3 × 3) = 44 m.
When I was at school, I was told to learn the scalar versions of equations 2 and 3, and some more related equations, in order to solve problems about the motion of objects. This is not a good idea because objects don’t usually experience constant acceleration, except when they are falling. The only reliable way to solve these problems is to use the equations that define displacement, velocity and acceleration (post 17.4) and to differentiate (post 17.4) or integrate (post 17.19) them to obtain a solution.
You may have realised that, since g is a constant, we could have derived the scalar version of equation 4 without evaluating any integrals. Can you see how? (Hint: sketch a graph of distance against time and calculate the area under the graph using simple geometry). The reason for using integration was to show how the more general approach, described in post 17.19, can be used to solve a specific problem.
Related posts
17.19 Calculating distances from speeds – integration
17.18 Terminal velocity and parachutes
17.4 Displacement, velocity and acceleration
16.17 Weight
16.16 Gravity
Appendix
The modulus of the acceleration due to gravity (gravitational field), at a height h above the surface of the earth, is given by
g = GM/(R + h)2
where G is the gravitational constant, M is the mass of the earth and R is the radius of the earth (post 16.16).
The radius of the earth is 6 371 km, so the acceleration due to gravity at the surface of the earth, go, divided by its value, g10, at a height of 10 km (over 1 km higher than Earth’s highest mountain) is
go/g10 = 63812/63712 = 1.003.
Since we normally use a value for g of 9.81 m.s-1 (post 16.16), the value of go/g10 expressed to the same number of significant figures is 1.00; so at a height of 10 km, g is not appreciably different to its value at sea level.